CMSL_UB Profile Banner
CMSL UB Profile
CMSL UB

@CMSL_UB

Followers
60
Following
8
Media
50
Statuses
117

Computational Materials Science Laboratory at UB & IQTCUB Understanding, developing, and improving new materials through Computational Chemistry

Barcelona
Joined February 2023
Don't wanna be here? Send us removal request.
@CMSL_UB
CMSL UB
28 days
Does it work? We put it to the test. 🧪 We screened 396 novel La-based MXenes (a practically unexplored family). MXgap identified 6 promising candidates with suitable band alignment for water splitting. 🎯
0
0
0
@CMSL_UB
CMSL UB
28 days
We wrote a paper and built a tool. 💻 We integrated the trained models into MXgap, an open-source and user-friendly Python package. Useful to predict bandgaps using simple inputs or PBE data, skipping the computational cost of Hybrid functionals. 🔗 https://t.co/TKSQHUtPbG
0
0
0
@CMSL_UB
CMSL UB
28 days
How it works: We built a Classifier-Regressor pipeline. 🛠️ 1️⃣First, it decides: Is this MXene a metal or a semiconductor? (92% Accuracy) 2️⃣If it's a semiconductor, it predicts the exact Bandgap with high precision (MAE = 0.17 eV).
0
0
0
@CMSL_UB
CMSL UB
28 days
The Solution: We trained Machine Learning models on a dataset of 4,356 MXene structures. Instead of waiting hours for a single calculation, our ML approach can predict properties in seconds. ⏱️
0
0
0
@CMSL_UB
CMSL UB
28 days
The Challenge: We need materials that can turn water into Hydrogen fuel using sunlight. MXenes (2D transition metal carbides/nitrides) are great candidates, but with thousands of combinations! 🤯 Highly accurated electronic properties simmulations can be slow and expensive. 🐢💸
0
0
0
@CMSL_UB
CMSL UB
28 days
Can AI help us unlock the future of clean energy? 🌍⚡️ We believe so. Let me walk you through our latest work in @ACSCatalysis, where we combine Machine Learning and MXenes to accelerate the discovery of photocatalysts for water splitting. Introducing: MXgap. 🧵👇
6
0
1
@CMSL_UB
CMSL UB
2 months
@IQTCUB @QuimicaUB @ChemEurope 12/ Check out the full open-access paper: 📖 A. Calzada, F. Viñes, P. Gamallo, ChemSusChem 2024, 17, e202400852. 🔗 https://t.co/Y6TWj7yajw Or watch the summary video: 🔗 https://t.co/G2SGjmgYW5
0
1
1
@CMSL_UB
CMSL UB
2 months
@IQTCUB @QuimicaUB @ChemEurope 11/ 📝 One note: all of this study is computational, but synthesis routes to synthesize grazynes exist. These materials can, in principle, be created using atom manipulation techniques. The path to experimental validation is open.
1
0
1
@CMSL_UB
CMSL UB
2 months
@IQTCUB @QuimicaUB @ChemEurope 10/ 💡 So what does this mean? Grazyne membranes can: ✔️ Operate at low CO2 concentrations ✔️ Maintain high CO2/N2 selectivity ✔️ Avoid chemical poisoning ✔️ Work under realistic pressure/temperature conditions A strong candidate for air purification!
1
0
1
@CMSL_UB
CMSL UB
2 months
@IQTCUB @QuimicaUB @ChemEurope 9/ But rates are not enough. We wanted to see how real molecular systems behave. So, we ran MD simulations with CO2/N2 mixtures and let them interact with the membrane. Even when the gas mixture had only 0.5% CO2, the membrane still managed to filter it out preferentially.
3
0
1
@CMSL_UB
CMSL UB
2 months
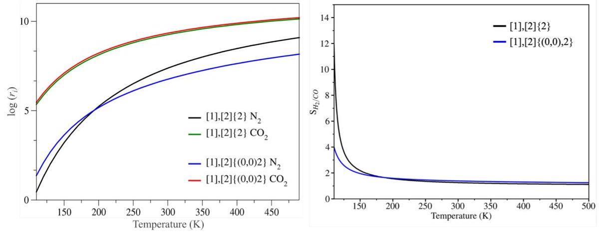
@IQTCUB @QuimicaUB @ChemEurope 8/ Using TST, we translated barriers into rate constants. We found: 🔹 CO2 has higher diffusion rates than N2 across a wide range of temperatures (100–500 K) 🔹 Selectivity towards CO2 is highest at low temperatures, meaning CO2 diffuses much more easily than N2 in that regime.
1
0
1
@CMSL_UB
CMSL UB
2 months
@IQTCUB @QuimicaUB @ChemEurope 7/ Then we calculated the diffusion barriers: the energy needed to pass through the pore. ▪ CO2 showed lower barriers than N2 in perpendicular orientation ▪ N2 seems to be able to also pass in parallel orientation ➡️ This sets the stage for CO2 to diffuse easily.
1
0
1
@CMSL_UB
CMSL UB
2 months
@IQTCUB @QuimicaUB @ChemEurope 6/ ⚛️ First, we checked whether CO2 and N2 interact too strongly with the grazyne. Luckily, both are physisorbed, meaning they weakly interact with the surface. ✅ This avoids membrane obturation or chemical poisoning. ✅ Molecules can diffuse and keep the membrane reusable.
1
0
1
@CMSL_UB
CMSL UB
2 months
@IQTCUB @QuimicaUB @ChemEurope 5/ 💻 To answer that, we ran a multiscale computational study using both: ▪ Density Functional Theory (DFT) to explore energetics and kinetics ▪ Molecular Dynamics (MD) to simulate real-time molecular behavior We tested two grazyne variants with different pore topologies.
1
0
1
@CMSL_UB
CMSL UB
2 months
@IQTCUB @QuimicaUB @ChemEurope 4/ 🧬 Grazynes are a type of carbon membrane made of sp and sp2 carbon atoms. They form 2D structures with tunable pores—essentially molecular filters that can be engineered with atomic precision. They’ve shown promise in separating CO2 from CH4, but what about CO2 from N2?
1
0
1
@CMSL_UB
CMSL UB
2 months
@IQTCUB @QuimicaUB @ChemEurope 3/ 🔬 But not all membranes are useful. For effective CO2/N2 separation, we need that: 1️⃣ Don’t capture the molecules, just let them pass 2️⃣ Allow selective passage based on molecular size/shape 3️⃣ ideally tunable, tuning pores for different gases This is what grazynes offer.
1
0
1
@CMSL_UB
CMSL UB
2 months
@IQTCUB @QuimicaUB @ChemEurope 2/ 🧪 Traditional separation like cryogenic distillation or chemical absorption are effective but energetically costly. Thus, porous membranes—thin materials that allow certain molecules to pass—are gaining attention: ✔️ Compact ✔️ Low maintenance ✔️ Energy efficient ✔️ Scalable
1
0
1
@CMSL_UB
CMSL UB
2 months
@IQTCUB @QuimicaUB @ChemEurope 1/ 🌍 The fight against climate change depends on one fundamental task: removing excess CO2 from the atmosphere. But air is made mostly of N2 (78%), while CO2 is only about 0.04%. Both molecules are chemically very stable, so selective separation is an enormous challenge.
1
0
1
@CMSL_UB
CMSL UB
2 months
🧵 What if we could filter CO2 out of N2 directly from air using a carbon-based membrane? In our latest study, we show how grazynes—a family of tunable 2D carbon materials—can do exactly that. Let me walk you through the story 👇 @IQTCUB @QuimicaUB @ChemEurope #ChemSusChem
1
1
1