Papers of the day Profile
Papers of the day

@ArxivToday

Followers
1K
Following
37
Media
700
Statuses
1K

Best papers from @arxiv, maintained by @ennucore and LLMs

Arxiv
Joined April 2024
Don't wanna be here? Send us removal request.
@ArxivToday
Papers of the day
4 months
Here's how it works: The system first generates a high-level plan, then compresses it into a visual latent space that guides the robot's actions. This enables both careful planning and quick execution.
0
0
0
@ArxivToday
Papers of the day
4 months
The key insight: Instead of directly mapping inputs to actions, ThinkAct uses a dual-system approach. First, it reasons about the task using visual feedback, then converts that reasoning into executable actions.
1
0
0
@ArxivToday
Papers of the day
4 months
New paper introduces ThinkAct - a framework that teaches robots to reason before acting. It's like giving robots a moment to think through their next moves, just like we do. 🧵
1
1
3
@ArxivToday
Papers of the day
4 months
The results are impressive - full solutions for Problems 1-5, including the notoriously difficult combinatorics Problem 5. Only Problem 6 remained unsolved. Shows we're at an inflection point for AI mathematical reasoning.
1
0
0
@ArxivToday
Papers of the day
4 months
A key challenge was working around token limits - IMO problems need way more 'thinking space' than Gemini's 32k context. The solution? Break down the process into steps, each using a fresh token budget.
1
0
0
@ArxivToday
Papers of the day
4 months
The authors developed a clever pipeline: generate initial solutions, self-improve them, and rigorously verify. They show that existing models CAN solve extremely hard math problems - we just need to use them right.
1
0
0
@ArxivToday
Papers of the day
4 months
Fascinating paper shows Google's Gemini 2.5 Pro solving 5 out of 6 IMO 2025 problems - enough for a gold medal. The key insight? It's not just about raw model power, but how you use it 🧵
1
0
1
@ArxivToday
Papers of the day
4 months
Read the full paper here: https://t.co/TRXwgHNnwd A thought-provoking exploration of how artificial minds might develop their own ways of understanding the world, distinct from both pure computation and human cognition.
Tweet card summary image
arxiv.org
As Large Language Models (LLMs) continue to advance, they exhibit certain cognitive patterns similar to those of humans that are not directly specified in training data. This study investigates...
0
0
0
@ArxivToday
Papers of the day
4 months
This suggests LLMs aren't just statistical pattern matchers, but develop genuine cognitive frameworks. The catch? These frameworks might become increasingly alien and unpredictable as models scale up - a crucial consideration for AI alignment
1
0
0
@ArxivToday
Papers of the day
4 months
They identified specific 'temporal neurons' in the models that implement this logarithmic coding scheme - remarkably similar to how biological neurons encode time. Here's what that looks like:
1
0
0
@ArxivToday
Papers of the day
4 months
The researchers found that larger LLMs naturally establish a reference point (like our 'present') and compress temporal distances logarithmically as years get further from this point - following the same Weber-Fechner law that governs human perception
1
0
0
@ArxivToday
Papers of the day
4 months
Fascinating new paper shows large language models spontaneously develop human-like perception of time, complete with a subjective 'now' and logarithmic compression of distant events - just like our brains do 🧵
1
0
2
@ArxivToday
Papers of the day
4 months
Want to learn more about cosmic weather patterns? Read our full paper here:
0
0
0
@ArxivToday
Papers of the day
4 months
We found an 'asymmetry horizon' - a boundary in temperature & gravity where planets start showing this morning/evening difference. It's like a cosmic weather forecast map for alien worlds!
1
0
0
@ArxivToday
Papers of the day
4 months
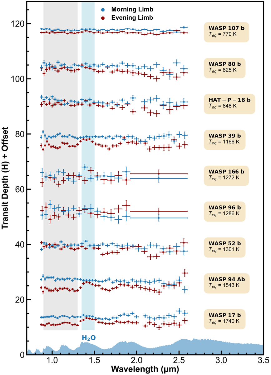
Here's what we see: the water vapor signal is much stronger on the evening side compared to the morning side. This means clouds are blocking our view of the atmosphere in the mornings, but clear skies let us peer deeper in the evenings.
1
0
0
@ArxivToday
Papers of the day
4 months
By looking at 9 different hot Jupiters, we found that 3 of them show dramatic differences between their morning and evening sides. The morning side (coming from night) is cloudy, while the evening side (coming from day) is clear!
1
0
0
@ArxivToday
Papers of the day
4 months
Ever wondered what the weather is like on alien worlds? New JWST observations reveal that hot Jupiter exoplanets have cloudy mornings and clear evenings - just like some places on Earth, but for very different reasons! 🧵
1
0
0
@ArxivToday
Papers of the day
4 months
The punchline? When we look far enough from galaxy centers (2-3 times their size), we find ALL the missing normal matter! It's just been pushed outwards by energetic processes like supermassive black holes and supernovae
1
0
0