Agropages
@AgroPages_Info
Followers
3K
Following
151
Media
373
Statuses
4K
Network of #Agrochemicals #CropProtection #Fertilizers #PlantNutrients and #Seed
Joined March 2014
Check out the latest article in my newsletter: BioEx Bi-weekly Newsletter (No. 2 in Sep. 2025) https://t.co/pyTDFEfryP via @LinkedIn
linkedin.com
"BioEx Biweekly delivers the latest technology and product news, as well as hot viewpoints on biopesticide, biostimulant and novel fertilizer sectors." Subscribe link: https://www.
0
0
0
Check out the latest article in my newsletter: BioEx Bi-weekly Newsletter (No. 1 in Sep. 2025) https://t.co/uCDvfVIPyD via @LinkedIn
linkedin.com
"BioEx Biweekly delivers the latest technology and product news, as well as hot viewpoints on biopesticide, biostimulant and novel fertilizer sectors." Subscribe link: https://www.
0
0
0
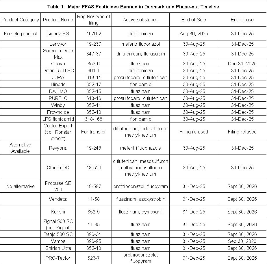
Denmark's sudden ban on 23 fluorinated pesticides. Your thoughts? Q1:Will the ban on fluorinated pesticides spread to other European countries? Q2:Following the ban, will the EU have sufficient alternatives to meet plant protection needs? 🔗 https://t.co/DKqZuu8A2O
0
0
0
Check out the latest article in my newsletter: BioEx Bi-weekly Newsletter (No. 2 in Aug. 2025) https://t.co/hIxIXQLV3U via @LinkedIn
linkedin.com
"BioEx Biweekly delivers the latest technology and product news, as well as hot viewpoints on biopesticide, biostimulant and novel fertilizer sectors." Subscribe link: https://www.
0
0
0
Check out the latest article in my newsletter: China Special (Bi-weekly 20250822) https://t.co/oDn540os2y via @LinkedIn
linkedin.com
The AgroPages China Special bi-weekly newsletter will broadcast the latest Chinese agrochemical market news. The content involves policy changes, market prices, supply and demand dynamics, company...
0
0
0
Check out the latest article in my newsletter: BioEx Bi-weekly Newsletter (No. 1 in Aug. 2025) https://t.co/CNBekDBYEh via @LinkedIn
linkedin.com
"BioEx Biweekly delivers the latest technology and product news, as well as hot viewpoints on biopesticide, biostimulant and novel fertilizer sectors." Subscribe link: https://www.
0
0
0
Check out the latest article in my newsletter: China Special (Bi-weekly 20250808) https://t.co/liJFRIUdNb via @LinkedIn
linkedin.com
The AgroPages China Special bi-weekly newsletter will broadcast the latest Chinese agrochemical market news. The content involves policy changes, market prices, supply and demand dynamics, company...
0
0
0
Latin America Focus Bi-weekly (Issue 2#, Jul. 2025)
linkedin.com
AgroPages’ Latin America Focus Bi-weekly delivers information updates on the market trends and company activities of agribusiness industry in Latin America. Subscribe link: https://www.
0
0
0
Check out the latest article in my newsletter: BioEx Bi-weekly Newsletter (No. 2 in Jul. 2025) https://t.co/Y6ZnVFnqNN via @LinkedIn
linkedin.com
"BioEx Biweekly delivers the latest technology and product news, as well as hot viewpoints on biopesticide, biostimulant and novel fertilizer sectors." Subscribe link: https://www.
0
0
0
Check out the latest article in my newsletter: African Focus E-Newsletter (July 2025 Issue) https://t.co/PE3T9cDT5T via @LinkedIn
linkedin.com
The AgroPages Africa Focus newsletter will broadcast the latest African agriculture news, including policy changes, market prices, supply and demand dynamics, company trends, product news and...
0
0
0
Check out the latest article in my newsletter: China Special (Bi-weekly 20250711) https://t.co/CgcYh6Iyzs via @LinkedIn
linkedin.com
The AgroPages China Special bi-weekly newsletter will broadcast the latest Chinese agrochemical market news. The content involves policy changes, market prices, supply and demand dynamics, company...
0
0
0
Latin America Focus Bi-weekly (Issue 1#, June 2025)
linkedin.com
AgroPages��� Latin America Focus Bi-weekly delivers information updates on the market trends and company activities of agribusiness industry in Latin America. Subscribe link: https://www.
0
0
0
Check out the latest article in my newsletter: China Special (Bi-weekly 0613) https://t.co/v78CEpQ5Bi via @LinkedIn
linkedin.com
The AgroPages China Special bi-weekly newsletter will broadcast the latest Chinese agrochemical market news. The content involves policy changes, market prices, supply and demand dynamics, company...
0
0
0
Check out the latest article in my newsletter: BioEx Bi-weekly Newsletter (No. 1 in Jun. 2025) https://t.co/Xpesr8fkKk via @LinkedIn
linkedin.com
"BioEx Biweekly delivers the latest technology and product news, as well as hot viewpoints on biopesticide, biostimulant and novel fertilizer sectors." Subscribe link: https://www.
0
0
0
Acies Bio Revolutionizes RNAi Accessibility: ACIES BIO Ltd. is making RNA interference (RNAi) technology more accessible and affordable for researchers, enabling them to tackle a broader range of pests and diseases in agriculture. https://t.co/ENnF5U7X7x
news.agropages.com
Acies Bio offers fast, flexible, and affordable synthesis of multiple double-stranded RNA (dsRNA) co
0
0
0
Check out the latest article in my newsletter: Latin America Focus Bi-weekly (Issue 2#, May 2025) https://t.co/Z8pFevCMWc via @LinkedIn
linkedin.com
AgroPages’ Latin America Focus Bi-weekly delivers information updates on the market trends and company activities of agribusiness industry in Latin America. Subscribe link: https://www.
0
0
0
Check out the latest article in my newsletter: China Special Bi-weekly Newsletter (20250530) https://t.co/LRFceiW2cZ via @LinkedIn
linkedin.com
The AgroPages China Special bi-weekly newsletter will broadcast the latest Chinese agrochemical market news. The content involves policy changes, market prices, supply and demand dynamics, company...
0
0
0
Check out the latest article in my newsletter: BioEx Bi-weekly Newsletter (No. 2 in May 2025) https://t.co/kYa2hE4AoG via @LinkedIn
linkedin.com
"BioEx Biweekly delivers the latest technology and product news, as well as hot viewpoints on biopesticide, biostimulant and novel fertilizer sectors." Subscribe link: https://www.
0
0
0
Check out the latest article in my newsletter: Latin America Focus Bi-weekly (Issue 1#, May 2025) https://t.co/DoIqyEsj5w via @LinkedIn
linkedin.com
AgroPages’ Latin America Focus Bi-weekly delivers information updates on the market trends and company activities of agribusiness industry in Latin America. Subscribe link: https://www.
0
0
0
Check out the latest article in my newsletter: China Special Bi-weekly Newsletter (20250516) https://t.co/SueGnGO8n4 via @LinkedIn
linkedin.com
The AgroPages China Special bi-weekly newsletter will broadcast the latest Chinese agrochemical market news. The content involves policy changes, market prices, supply and demand dynamics, company...
0
0
0