Max Eyre Profile
Max Eyre

@maxeyre3

Followers
329
Following
2K
Media
20
Statuses
247

Assistant Professor @LSHTM_EHG | eco-epidemiology | spatial stats | NTD mapping | WASH & urban health | (he/him) MOVED TO: @maxeyre.bsky.social

Joined March 2011
Don't wanna be here? Send us removal request.
@Snowpeaks_Nepal
Dr Anna Durrance-Bagale
1 year
Hi everyone, in need of a job/postdoc etc, so please repost/share. All help very welcome! Thank you so much ❤️ #postdoc #job #socialscience #zoonoses
@Snowpeaks_Nepal
Dr Anna Durrance-Bagale
2 years
Hi all, my current contract ends 24 September and I need a job. All leads very welcome. Zoonoses, social science, co-pro, just got my PhD. Live in Scotland but very happy to travel 😊 Academic/education details on link in profile. Thanks so much 🙏 #zoonoses #socialscience #rats
1
6
7
@maxeyre3
Max Eyre
2 years
New paper out! A joint work with @CBulstra @ClaudioFronterr @luc_coffeng @teejay21111 Sake J de Vlas and Peter J Diggle.
@NtdModelling
NTD_Modelling
2 years
1 Billion people worldwide have soil-transmitted helminths (STHs)​. Integrating geo-statistical methods + transmission models to improve monitoring of control programmes. ​@maxeyre3 & @Cbulstra insights for more efficient preventive strategies #BeatNTDs https://t.co/pNHiEoqdLo
0
4
17
@NtdModelling
NTD_Modelling
2 years
1 Billion people worldwide have soil-transmitted helminths (STHs)​. Integrating geo-statistical methods + transmission models to improve monitoring of control programmes. ​@maxeyre3 & @Cbulstra insights for more efficient preventive strategies #BeatNTDs https://t.co/pNHiEoqdLo
0
5
12
@NtdModelling
NTD_Modelling
2 years
🆕Supplement by @NtdModelling with @WHO & other experts explores how mathematical models of neglected tropical diseases can accelerate progress towards NTD control & elimination by 2030. #BeatNTDs Funded by @GatesFoundation @LKSF @bdi_oxford​ 🔗 https://t.co/VOOvXYSspq
1
26
33
@IDDjobs
IDDjobs: infectious disease dynamics jobs
2 years
PhD position (London, UK) Identifying exposure pathways for environmentally transmitted zoonoses in climate-vulnerable peri-urban informal settlements in Brazil with @maxeyre3; Robert Dreibelbis, Sara Macbride-Stewart at @LSHTM_EHG More details:
0
1
1
@maxeyre3
Max Eyre
2 years
The project will study how socio-demographic and environmental processes that drive zoonotic spillover interact with flooding events in marginalised communities in Salvador, Brazil - working with interdisciplinary collaborators at @fiocruz @isc_ufba.
0
0
1
@maxeyre3
Max Eyre
2 years
Deadline for application is 25th March! More info here: https://t.co/GJelSLwJYq Key skills to develop: epi, quant and qual methods, evidence synthesis. Supervisory team are me, @rdreibelbis_UK (@LSHTM), Sara Mcbride-Stewart (@cardiffuni) and Federico Costa (@isc_ufba).
1
0
2
@maxeyre3
Max Eyre
2 years
Interested in an #epidemiology #OneHealth #PhD at @LSHTM_EHG @LSHTM starting Oct 2024? Apply now for our @OneZooCDT project 'Identifying exposure pathways for environmentally transmitted zoonoses in climate-vulnerable urban settlements in Brazil'! #EpiTwitter #phdlife #rstats
2
13
30
@RGHIHygiene4All
RGHI
2 years
Reckitt Global Hygiene Institute (RGHI) Fellows are speakers @UNC_Water_Inst #UNCWaterAndHealth Conference, October 23-27 #hygiene #health @Shyillah @maxeyre3 @LSHTM @JohnsHopkinsSPH @UIowaCPH https://t.co/rIJgMoGkYe
0
1
3
@drrachellowe
Rachel Lowe
2 years
[JOB OPPORTUNITY] We are excited to open a position for a new postdoctoral research fellow in the @BSC_CNS Global Health Resilience group. Application details in the link below: https://t.co/K7HZ6wvnzH
2
68
80
@DrSimEvans
Simon Evans
2 years
A Tufton St guide to "honest debate" on net-zero (aka how Civitas got embarrassingly wrong numbers into Sun, Mail, Times & Express) 1⃣Send to lobby journos, not specialists 2⃣Get Tufton St chums to write supportive comment 3⃣Trust editors to take crazy numbers at face value 🧵
39
730
1K
@LSHTM_EHG
Environmental Health Group, LSHTM
3 years
📣 We're hiring! Exciting Assistant/Associate Professor position to develop and lead research related to hygiene and planetary health £50-69k Full-time, 2 years Closes Monday, 29 May! https://t.co/y02HUg66Dr
jobs.lshtm.ac.uk
The Environmental Health Group seeks to appoint an Assistant/Associate Prof to develop and lead research related to hygiene and planetary health. Funded through an unrestricted donation from Reckitt...
0
4
2
@rachelemburns
Dr Rachel Burns
3 years
For the last 18 months, our team from @UCL_IHI, @DOTW_UK & @FindandTreat have been talking to GP staff & patients about challenges to inclusive registration. Join us for the #Right2Care Final Report Launch Event on Tuesday, April 4, 11am to learn about our process & findings!
1
6
13
@mlangsdale1
Dr Mary Langsdale
3 years
Today I am ON STRIKE to demand better pay & conditions for everyone across the HE sector We're fighting: - 35% cut to pension - 25% pay cut since 2009 - Equality pay gaps - Job insecurity + precarious contracts - Unsafe + unsustainable workloads #ucuRISING
2
2
12
@DrJoGrady
Jo Grady
3 years
EVERY UCU MEMBER NEEDS TO RT THIS. They said we were beaten. They said we didn’t have enough support. They wrote us off. Just look at these images. Emotion, pride, solidarity. Now we march on to win the dispute. #ucuRISING
27
496
948
@DrJoGrady
Jo Grady
3 years
70,000 UCU members are on strike today The university sector is on its knees Students pay thousands Staff get pension and pay cuts We can’t go on like this Get behind us👊 Put this poster in a window to show your support! Victory to UCU #ucuRISING https://t.co/GTEwr0rC4N
2
36
99
@drkstevenson
Kerrie Stevenson
3 years
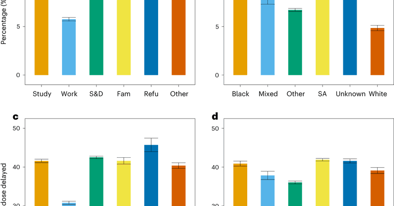
Amazing work from ⁦@rachelemburns⁩ exploring the #COVID19 vaccine uptake amongst migrant populations 👏 ⁦@UCL_IHI⁩ ⁦@UKPHSci#PHSci #COVID
0
4
9
@AngusSatow
Angus Satow
3 years
What's going on with Labour's Parliamentary Selections? A 🧵 on Starmer's purge and the implications for Britain's democracy... https://t.co/M0bX6VquTK
Tweet card summary image
telegraph.co.uk
Leader criticised for promoting 'disunity' in party, but allies say he is ensuring a high standard
71
584
1K
@maxeyre3
Max Eyre
3 years
The modelling framework can be used more broadly to study complex animal-environment-human interactions during zoonotic spillover or for vector-borne diseases. All #RStats code publicly available at https://t.co/Lfk4tZ1oFJ, let me know if you have any questions!
Tweet card summary image
github.com
Contribute to maxeyre/rattiness-infection-framework development by creating an account on GitHub.
0
1
1