manalisjoshi1 Profile Banner
manalisjoshi Profile
manalisjoshi

@manalisjoshi1

Followers
233
Following
2K
Media
37
Statuses
171

Computational Biologist | Passionate about Art, Music and Dance | Mom | Bookworm(Fiction)

Pune, India
Joined March 2018
Don't wanna be here? Send us removal request.
@manalisjoshi1
manalisjoshi
9 days
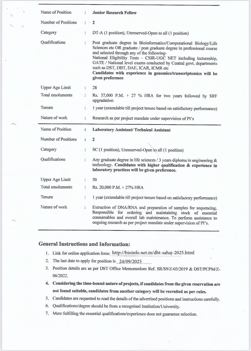
Recruiting Project Associate 1 in DBT Virus Bioinformatics project and JRF in DBT-SAHAJ Indian Medicinal Plants genomics project. Apply here https://t.co/LnyyPoADqD Pls retweet for maximum reach
0
9
17
@manalisjoshi1
manalisjoshi
13 days
I have always wondered if there's someone just like me: love guavas but hate the seeds, don't like chewing them, can't gulp them!
0
0
3
@manalisjoshi1
manalisjoshi
25 days
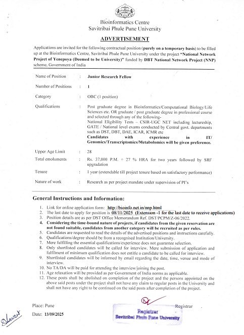
Applications are invited for JRF under DBT National Network Project. Apply here: https://t.co/QguxlfbeHW Pls retweet to spread the word.
0
2
2
@manalisjoshi1
manalisjoshi
2 months
Worrying trend! Been spotting these in my society as well.
0
0
2
@manalisjoshi1
manalisjoshi
3 months
Applications are invited for Project Scientist I, Senior Project Associate, JRFs and Lab Assistants under the project "Indian Medicinal Plants Genome Initiative" funded by DBT SAHAJ scheme. Apply here: https://t.co/WUlyo2dsqA Pls retweet to spread the word.
0
6
13
@manalisjoshi1
manalisjoshi
3 months
Depicting the current situation in Pune! Another funny one by Chaitanya Govande!
0
0
2
@manalisjoshi1
manalisjoshi
3 months
Loving the cartoons by Chaitanya Govande in Pune Mirror!
0
0
2
@aparanjape
Amit Paranjape
4 months
Why only Delhi? This should be extended to all cities. Stray dogs is a big problem across India. 'All Stray Dogs In Delhi-NCR To Be Moved To Shelters: Supreme Court's Big Order'
ndtv.com
All Stray Dogs In Delhi-NCR To Be Moved To Shelters: Supreme Court's Big Order
133
347
2K
@manalisjoshi1
manalisjoshi
4 months
Is friendship day a marketing propaganda? Perhaps! I prefer to think of it as a day to take out time to reflect, remember and thank each friend that has mattered!
0
0
9
@manalisjoshi1
manalisjoshi
4 months
Recruiting manpower at Bioinformatics Centre, SPPU on DBT projects. Please retweet for maximum reach. Last date to apply is 1st August 2025.
0
6
17
@jeetchem
Jeetender Chugh (Jeet)
5 months
We are hiring a project scientist. Please look at the advertisement for details of the position. The walk-in-interview is scheduled for the 21st July. Please help spread the word. https://t.co/JsLzhLnSKe #NMR @ICMRDELHI @IISERPune @manalisjoshi1
0
11
20
@manalisjoshi1
manalisjoshi
5 months
Rufous babbler outisde the office window!
0
0
3
@manalisjoshi1
manalisjoshi
5 months
Recruiting manpower at Bioinformatics Centre SPPU on an ICMR project with @jeetchem . Please retweet for maximum reach.
2
9
17
@ANRFIndia
Anusandhan National Research Foundation
6 months
@ANRFIndia announces call for Proposals under Advanced Research Grant (ARG) and scheduled to open from June 12, 2025. The call details can be accessed in the following link (https://t.co/uN9tOyY2Ij)@IndiaDST @shivkuma_k @PrinSciAdvOff @karandi65 @PrinSciAdvGoI @Dipti_K_Thukral
8
116
281
@manalisjoshi1
manalisjoshi
6 months
Welcome move!
0
0
5
@manalisjoshi1
manalisjoshi
7 months
Heartening to see youngsters doing Pashan tekdi cleanup on a Sunday morning! Kudos to whoever organised it!
0
1
9
@manalisjoshi1
manalisjoshi
7 months
Daredevil act paves the way for Universal antivenom antibody!
0
0
7
@manalisjoshi1
manalisjoshi
9 months
Excited to share our recent work published in @PlantPhys in which we present new computational evidence supporting GPCRs in plants! @durbignon @AditiGotkhindi1 https://t.co/UiRcZuN7AJ
2
2
7
@unescorcb
RCB
10 months
📢 Call for applications for #GraduateAptitudeTest (GAT-B) 2025 for admission in DBT supported #PGprograms is now open! 🔗 https://t.co/AGo72RwJ6t https://t.co/iE2C0JUyDv 📅 3 March 2025 Apply now and advance your career in Biotechnology! #DBT #Biotechnology #STEM 🌱🔬
2
34
89
@manalisjoshi1
manalisjoshi
10 months
Amul ads, never fail to amuse
0
0
4