johnsoncity Profile Banner
johnson city Profile
johnson city

@johnsoncity

Followers
5K
Following
377
Media
49
Statuses
4K

Tweets and ReTweets about Northeast Tennessee

Johnson City, TN
Joined February 2009
Don't wanna be here? Send us removal request.
@johnsoncity
johnson city
9 months
Spring is around the corner!
@WJHL11
WJHL
9 months
The Storm Team 11 Forecast calls for mostly sunny skies and a high temperature of 75 degrees today. Elevated fire danger today due to low relative humidity and southwest winds at 5-10 mph.
0
1
1
@thinkjose
Jose Castillo 🌶
10 months
“Technology is a word that describes something that doesn’t work yet.” -Douglas Adams Be adaptable.
3
2
11
@iflytri
Tri-Cities Airport
10 months
Which travel love language speaks to you? ❤️✈️
0
1
2
@JCPress
Johnson City Press
10 months
The East Tennessee State baseball team is set for a season opener against Northern Kentucky Friday 3 p.m. at Thomas Stadium. https://t.co/C0dyNpmCHu
Tweet card summary image
johnsoncitypress.com
The East Tennessee State baseball team is set for a season opener against Northern Kentucky Friday 3 p.m. at Thomas Stadium.
0
1
3
@johnsoncity
johnson city
3 years
Hey @TBInvestigation your #BlueAlert system will become useless if people turn it off. You keep issuing alerts while people are sleeping with no new information on the link. I have turned sound off & the entire alert is next. I want to be responsible & help, please be thoughtful
0
0
1
@johnsoncity
johnson city
5 years
This handy tracker can help you know if your gas station has fuel before you head out. https://t.co/UT0x4PboCD
0
0
1
@amythystkiah
Amythyst Kiah
5 years
I am thrilled to announce I'll be performing on @JimmyKimmelLive on May 6th! Tune in at 11:35/10:35c. 🙏🏾✌🏾🖤
13
18
165
@ETSU_MBB
ETSU Men's Basketball
5 years
BUCS WIN! BUCS WIN! BUCS WIN! ETSU closes out the game on a 22-10 run to secure a 6-point road win at Mercer @31damari with his third double-double (24pts/10rebs) Bucs are back home Saturday vs. Chattanooga at 4p! #ETSUTough
2
23
106
@johnsoncity
johnson city
5 years
Making Reddit for getting in on the GME and AMC action. https://t.co/hFB2YZrSwm
Tweet card summary image
reddit.com
Explore this post and more from the wallstreetbets community
0
0
4
@ETSU_MBB
ETSU Men's Basketball
5 years
HE IS TOO 💪💪!! @LA_NO_CALI with the +☝️ on this authoritative dunk.😤😤 #ETSUTough
2
27
69
@johnsoncity
johnson city
5 years
Unbelievable!
@TomNiziol
Tom Niziol
5 years
Its been a great day for #snow crystal photos on Roan Mountain, TN. Here's a couple examples, more to come. @weatherchannel @WJHL11 @NWSMorristown #winter #nature #snowflakes @spann @john_kucko
0
0
2
@JeffKeeling12
Jeff Keeling WJHL
5 years
Encouraging data about the vax rollout in the @WJHL11 viewing area: This is pulled from @TNDeptofHealth, @VDHgov and @CDCgov data. Would love to see the region stay in the lead in this department. I'll be talking about my findings on the 5:30 broadcast.
1
5
12
@johnsoncity
johnson city
5 years
Knoxville got their’s, now it’s our turn!
0
0
2
@JoshSmithWrites
Josh Smith
5 years
Merry Christmas! I’m helping to direct traffic at the @OneAcreCafe Christmas lunch. Delicious food for everyone regardless of their ability to pay through 1 PM Wednesday. Grab a meal and pay it forward if you can. Come on down to 603 W. Walnut Street Johnson City.
0
3
7
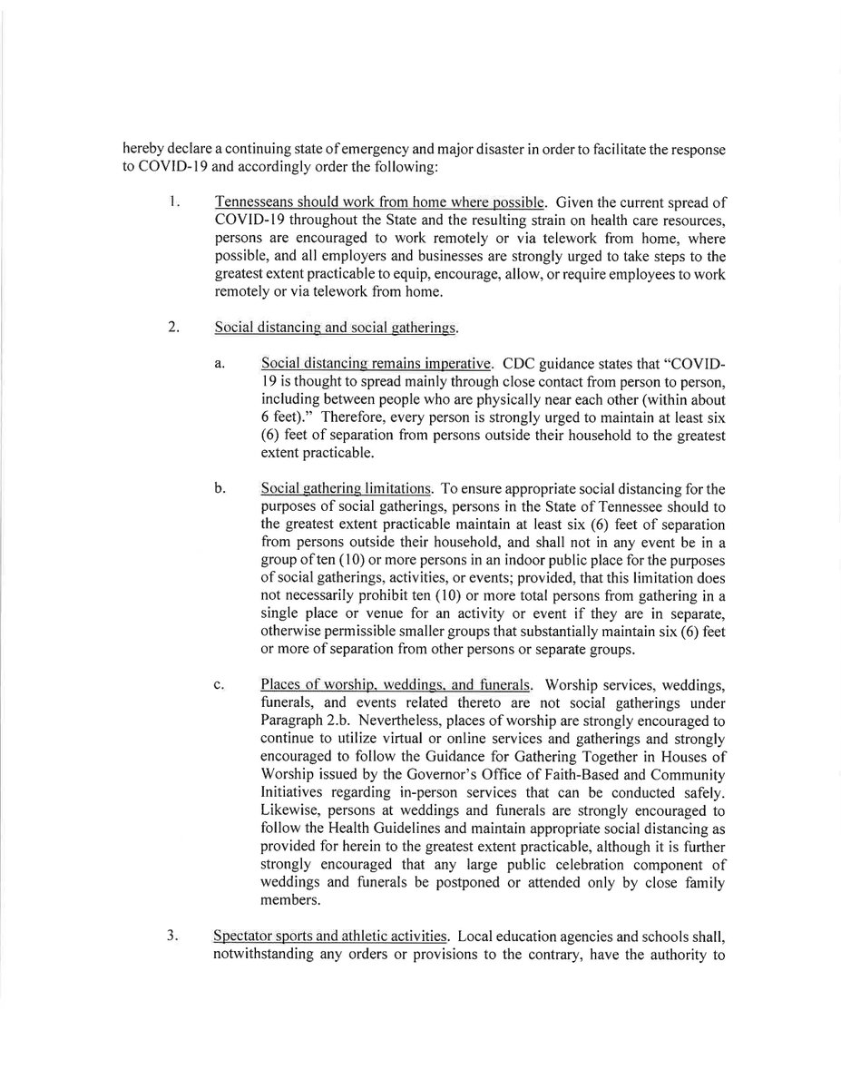
@GovBillLee
Gov. Bill Lee
5 years
Executive Order 70
712
238
405
@WJHL_Sara
Sara Diamond
5 years
First COVID-19 vaccine authorized for use in the United States
1
2
5