Explore tweets tagged as #Federatedlearning
@martysecada
Marty Secada/Resilient Alpha
2 months
0
0
0
@PatentPulse
Interesting Patents
26 days
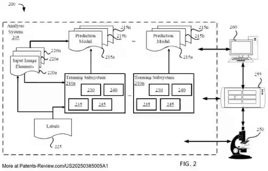
#US20250385005A1 patent application by #VentanaMedical introduces a #FederatedLearning system for #DigitalPathology. A centralized server distributes a global model to client devices, which train it using specimen images & annotations. Trained models are aggregated to update
0
0
1
@worldscientific
World Scientific
12 days
๐’๐ฉ๐ž๐œ๐ข๐š๐ฅ ๐‚๐จ๐ฅ๐ฅ๐ž๐œ๐ญ๐ข๐จ๐ง ๐ข๐ง ๐€๐ˆ ๐š๐ง๐ ๐ˆ๐ง๐ญ๐ž๐ซ๐ง๐ž๐ญ ๐จ๐Ÿ ๐“๐ก๐ข๐ง๐ ๐ฌ ๐Ÿ.๐ŸŽ Over 60 key digital reference titles for researchers and faculty in #BigData, #DeepLearning, #FederatedLearning, #MedicalTechnology, #PatternRecognition, #QuantumComputing, and more.
0
0
4
@FusionFundVC
Fusion Fund
4 months
We're excited to share that our portco #RhinoFederatedComputing has partnered with Eli Lilly to launch Lilly Tunelab -- a first-of-its-kind federated AI platform for secure, collaborative drug discovery. #AI #DrugDiscovery #HealthcareInnovation #LifeSciences #FederatedLearning
0
0
0
@PinakiLaskar
PINAKI LASKAR
1 month
How the Federated Learning for LLMs Is Finally Practical? Hereโ€™s What our Latest Research Reveals. Federated learning is moving beyond mobile keyboards and into the world of large language models โ€” a shift the community now calls FedLLM. #FederatedLearning
0
1
3
@GoogleResearch
Google Research
8 months
Here we describe improved algorithms for fine-tuning LLMs with user-level differential privacy (a method often employed in #FederatedLearning to privately train models across distributed devices) in the more flexible datacenter training environment. โ†’ https://t.co/MEPG9HKzWt
1
5
36
@FutureInternet6
Future Internet_MDPI
12 days
#CFP for the #SpecialIssue "Privacy-Preserving and Secure Federated Learning for #IoT and Cyber-Physical Systems", edited by Dr. Zhe Sun and Dr. Yuanyuan He. https://t.co/o5LfPH0hzq #federatedlearning #cyberphysicalsystems #security #privacy #edgecomputing #fogcomputing
0
0
0
@coderio_
Coderio Software Company
2 months
๐Ÿ‘‰๐Ÿป In #Coderioโ€™s new blogpost, Charles Maldonado, Solutions Architect, studies the power of #FederatedLearning, a decentralized approach that keeps sensitive data local while still enabling innovation ๐Ÿ“Ž https://t.co/0SWrFvpDcJ #softwaredevelopment #softwareoutsourcing #AI
0
0
0
@Applsci
Applied Sciences MDPI
10 days
โ˜€๏ธWelcome to read these review papers in the Section "Electrical, Electronics and Communications Engineering"! 1. #6GWirelessCommunications and #ArtificialIntelligence-Controlled #ReconfigurableIntelligentSurfaces: From Supervised to #FederatedLearning by Evangelos A. Zaoutis,
0
2
2
@InformationMDPI
Information MDPI
10 days
๐Ÿ”’ New #SpecialIssue "Secure Intelligent Things: Advances in AI-Driven Cybersecurity and Privacy Protection for IoT", edited by Dr. Yan Huang. Deadline is: 31 December 2026. https://t.co/AjJX5oUE9G #IoTSecurity #AI #Cybersecurity #Privacy #FederatedLearning @ComSciMath_Mdpi
0
1
2
@FJavier_Castro
Javier Castro
5 months
๐Ÿง  De la medicina de precisiรณn a la medicina personalizada - #AI_in_Health De ello hablarรฉ en mi participaciรณn en la AI in Health Summit de The Economist en Londres el 1 de octubre. #dnAI #biotech #SaludDigital #IA #Datos #FederatedLearning #EHDS #MedicinaPersonalizada
0
0
0
@appdevbyamitesh
๐Ÿ‡ฎ๐Ÿ‡ณAmitesh Mani Tiwari
1 month
๐ŸŽค Going live in 10 minutes at @mobiledevweek, Abu Dhabi ๐Ÿ‡ฆ๐Ÿ‡ช! Speaking on Federated Learning on iOS โ€” how we can build smart AI that is also privacy-first, fully on-device, using Swift. Letโ€™s go ๐Ÿš€๐Ÿ“ฑ #MDW2025 #iOSDev #FederatedLearning #PrivacyFirst #AbuDhabi
0
1
4
@europawire
EuropaWire ๐Ÿ‡ช๐Ÿ‡บ
2 months
โœ…๐Ÿ” A turning point for ๐Ÿ‡ช๐Ÿ‡บ EU digital identity as TrustED transitions from design into operational pilots involving real users, real data and real governance ๐Ÿ‘‰Full news story https://t.co/azS6jl1WU1 ๐Ÿท๏ธ#Privacy #security #data #identity #federatedlearning #cybersecurity ๐•
0
0
2
@PatentPulse
Interesting Patents
2 months
๐Ÿš€ New patent application alert: #US20250356264A1 by #ATT! Explore methods for #QuantumSecure #FederatedLearning in distributed #AI. Key aspects include: - Requesting participation in FL for an AI model - Utilizing a quantum computer for training computations - Aggregating
0
0
0
@Robust6G
ROBUST-6G
5 days
๐Ÿ“„ Research spotlight from ROBUST-6G! ๐Ÿ” โ€œDRACO: Decentralized Asynchronous Federated Learning over Row-Stochastic Wireless Networksโ€ ๐ŸŒ Read the full paper: https://t.co/WkJDXN70Xw #ROBUST6G #FederatedLearning #DecentralizedAI #WirelessNetworks #MachineLearning #6Gresearch
0
0
2
@FutureInternet6
Future Internet_MDPI
27 days
๐Ÿ”” Welcome to read Editor's Choice Articles in the Q4 of 2024: ๐Ÿ“ŒTitle: Enhancing Heart Disease Prediction with Federated Learning and Blockchain Integration ๐Ÿ”— https://t.co/qpvZ4kc8HT Keywords: #federatedlearning; #blockchain; heart disease; healthcare @ComSciMath_Mdpi
0
0
1
@cic_unb
Canadian Institute for Cybersecurity (CIC) ๐Ÿ
5 months
๐ŸŒ…Itโ€™s the final day of #PST2025 and weโ€™re kicking things off with a keynote from Dr. Roozbeh Razavi-Far: Toward Secure Federated Learning #Cybersecurity #FederatedLearning #PSTSummit
0
3
3