Explore tweets tagged as #Capox
@ArndtVogel
Arndt Vogel
6 days
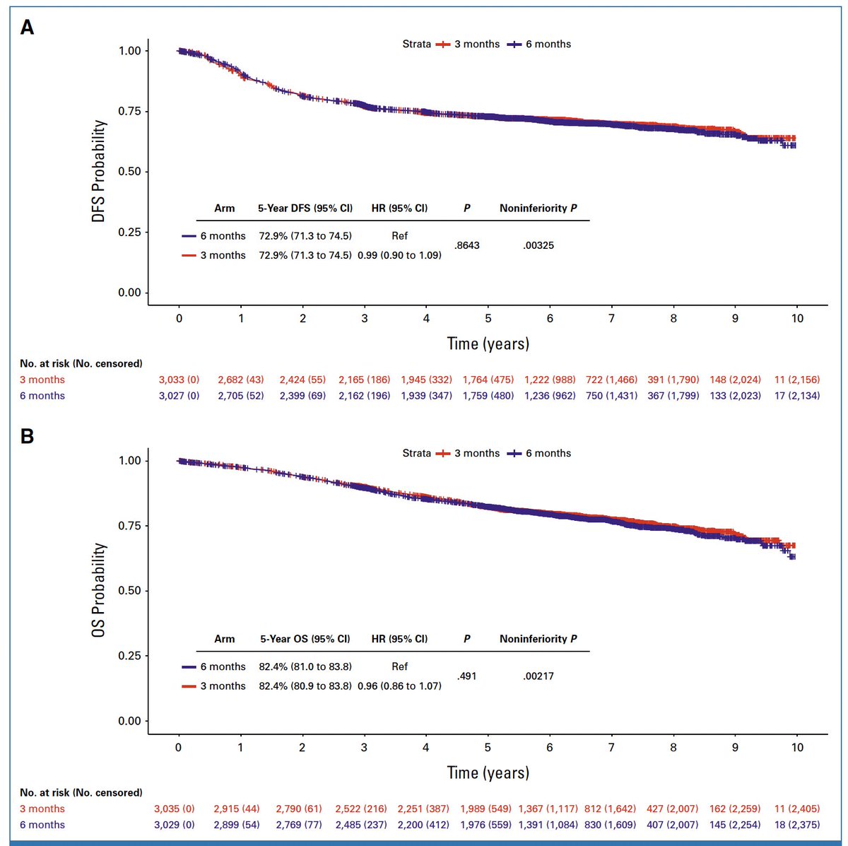
3 vs 6 mo of Adjuvant FOLFOX for CRC: Final Results of SCOT Phase III, Noninferiority Trial @JCO_ASCO https://t.co/GutTlunKgK 👉5yr OS for 3 vs 6 months 82.4% in both groups 👉noninferiority shown for CAPOX but not for FOLFOX 👉significantly less tox 🧐3 months should be
0
20
71
@Erman_Akkus
Erman Akkus
7 days
🟩3 vs 6 mo adjuvant 5FU-oxa in CRC Final results of SCOT non-inferiority trial @JCO_ASCO 5-year OS: ✅All patients, 3mo is non-inferior ✅CAPOX, 3 mo is non-inferior ⚠️FOLFOX, non-inferiority not confirmed ✅Low-risk stage III, 3mo ChT is non-inferior ⚠️High-risk stage III,
3
52
129
@GillSharlene
Sharlene Gill, MD, MPH, MBA, FASCO
9 days
#GI26 @ASCO HERIZON GEA01 Congrats Dr Elimova @UHN 🇨🇦 👏 Zanidatamab - HER bispecific N=914, 1L HER2+ CT+ traz v CT + zani v CT + zani + tisle PD1 CT - CAPOX or cisp/5FU ✅mOS 26.4m triplet vs CT+tras 19.2m, HR 0.72, p=0.0043 w sig PFS benefit. ✅PFS CT + zani 12.4m v CT +
1
23
44
@CAPOX2023
三毛猫ちゃん
11 hours
カップだとイマイチだけど、右の写真のカカオムースラテを頼みました。 味は間違いないです👍
0
0
5
@jgong15
Jun Gong
8 days
Dr. Kamp rand PhII LyRICX trial in Netherlands pick-the-winner of #1L chemo backbones to #IO in HER2- adv #GEJC ➡��� capecitabine + carboplatin showed lower neurotoxicity with similar PFS to CAPOX w/favorable cost-effectiveness profile when added to #IO @OncoAlert #GI26
0
8
14
@ArndtVogel
Arndt Vogel
8 days
LyRICX trial: Liposomal irinotecan, carboplatin or oxaliplatin with or without nivolumab in the 1st line GC/GEJC: A randomized phase 2 study 👉Much less tox with CapCar vs CapOx with similar PFS 🧐CapCar appears to be a valid option in 1st line @myesmo @ASCO
0
8
19
@DraMartinezLago
Nieves Martinez Lago MD PhD
6 days
🧬 SCOT trial – final OS results ⏱️ 3 vs 6 mo adj oxaliplatin–fluoropyrimidine in high-risk stage II–III CRC 📊 5-yr OS: 82.4% vs 82.4% → noninferior (HR 0.96) ✅ Noninferiority for CAPOX, not FOLFOX 🧠 Less neurotoxicity & better QoL ➡️ 3 mo should be standard for most 🔗
0
8
22
@DrRishabhOnco
Dr Rishabh Jain
8 days
When efficacy plateaus, toxicity decides. 💡 LyRICX at #ASCOGI26 shows similar PFS across CapOx, CapCar, and F-Nal-Iri with nivolumab in 1L metastatic esophagogastric cancer. The real separator? Neurotoxicity. CapOx ~46% vs ~0–2.5% with CapCar or F-Nal-Iri. Same efficacy. Very
@DrRishabhOnco
Dr Rishabh Jain
8 days
🚨 LyRICX at #ASCOGI26 When efficacy plateaus, toxicity decides. 🧪 Trial essentials First-line metastatic esophagogastric adenocarcinoma Comparing common chemo backbones ± nivolumab 🧫 Arms 🟦 CapOx ± nivo 🟩 CapCar ± nivo 🟨 F-Nal-Iri ± nivo 📊 Key results PFS is broadly
1
6
19
@CAPOX2023
三毛猫ちゃん
3 days
今日も無事にヒフデュラ打ちました 明日起きたら思いっきり脚動かないかな🤔
0
0
5
@DrRishabhOnco
Dr Rishabh Jain
8 days
🚨 LyRICX at #ASCOGI26 When efficacy plateaus, toxicity decides. 🧪 Trial essentials First-line metastatic esophagogastric adenocarcinoma Comparing common chemo backbones ± nivolumab 🧫 Arms 🟦 CapOx ± nivo 🟩 CapCar ± nivo 🟨 F-Nal-Iri ± nivo 📊 Key results PFS is broadly
@DrRishabhOnco
Dr Rishabh Jain
13 days
🚨 Upper GI at #GI26: Challenging the Throne 👑 Gastric and esophageal cancers are the most unstable battlefield in oncology right now. Old standards are under pressure. New kings are knocking. Here is your roadmap to the decisive battles 👇 👑 The Main Event: HER2+ First Line
0
4
13
@CAPOX2023
三毛猫ちゃん
22 hours
眠れ〜💤
0
0
4
@Onco_Cifu88
Sergio Cifuentes
7 days
Important step toward adjuvant de-escalation in stage III colon cancer. SCOT reinforces that 3 months of CAPOX is enough for low-risk disease, sparing patients unnecessary neuropathy and improving long-term quality of life. @OncoAlert
@GIMedOnc
Nicholas Hornstein
7 days
Is it sexy? No. Is it incredibly important for how we treat patients? Absolutely 🧠🧬 For over 20 years, 6 months of oxaliplatin plus a fluoropyrimidine has been the default for stage III colon cancer, and often high-risk stage II and rectal cancer. The cost has always been
0
7
13
@SareAtakan2016
Atakan DEMİR
6 days
@Erman_Akkus @JCO_ASCO In cT4 and/or N2 colon cancer, adjuvant chemotherapy should be 6 months; shortening comes at a survival cost. The difference between 3 and 6 months in cT4–N2 is not huge, but it is clinically meaningful and not safe to ignore. In T1–3, N1 disease, 3 months of CAPOX is clinically
1
0
2
@ChrisCC92
Chris
7 days
@dr_yakupergun Greater burden on colon cancer: 1️⃣ CapOx for 3 mo. Given MSI-H, I’d avoid IO for progression. 2️⃣ Since Capec is useful for BC too, I’d opt for TCx4 followed by OFS/AI + Olaparib.
0
1
2
@Onco_Cifu88
Sergio Cifuentes
8 days
@dr_yakupergun What are your thoughts on sequencing? I believe that in a couple of cases we have sequenced treatments. In one particular case, we were able to administer CAPOX for 3 months, followed by ddAC-T. I would definitely offer this patient atezolizumab plus an aromatase inhibitor. But
0
1
4
@manjuggm
Manju George MVSc PhD
7 days
@GIMedOnc Thank you for this. As someone who was fortunate to ask for & get 3 months of CAPOX for stage 3B rectal cancer in 2017, I’m so glad to see these results. Your post is great to explain these results to patients, so it’s going straight to @COLONTOWN1 #CRCSM
0
0
9
@sora251024
そら@S状結腸癌St.Ⅲb
4 days
【CAPOX副作用3クール目Day7】 ダルさは消えてきたけど食欲イマイチ。オキサリ後痩せて後半持ち直すのもパターン化しつつ。便ユルだけど下痢とは違い腹痛なし。なんか…独特の匂いがある、ずっと考えているが表現できない。 気づけばカペシタビンも明日で折り返し、ここからはあまり辛くないハズ!
1
0
8
@CAPOX2023
三毛猫ちゃん
2 days
金曜日おはようございます☀ さいきんなかなか寝れなくて寝不足が続いてたけど、昨夜はよく寝れました。 今日一日乗り切れば明日はゆっくり出来る。怪我には気をつけて、毛玉のご飯代を稼いできます
1
0
3
@dr_yakupergun
Yakup Ergün
5 days
Thank you very much for the comments. This is truly a challenging case, and my own view largely aligns with the opinions shared in the discussion. My approach would be 4 cycles of CAPOX plus atezolizumab, followed by 4 cycles of TC, and then endocrine therapy. I did not
@dr_yakupergun
Yakup Ergün
8 days
Case discussion 43-year-old premenopausal woman with synchronous colon and breast cancer. Colon: right-sided, T3N1, MSI-H. Breast: right mastectomy + SLNB. Two foci: node negative – 4.8 cm, luminal A–like – 1.8 cm, grade 3, Ki-67 40%, Oncotype DX: score 37 gPALB2 mutation
0
1
15