daveyboyhod Profile Banner
David Hodson Profile
David Hodson

@daveyboyhod

Followers
1K
Following
7K
Media
145
Statuses
4K

Failed vet. Even worse scientist. Likes the beach.

Oxford, England
Joined April 2009
Don't wanna be here? Send us removal request.
@daveyboyhod
David Hodson
20 days
Birmingham is a fantastic place to live and work. Do it!!
@IldemAkerman
ildem akerman
20 days
Come work with us at Birmingham! We are recruiting early career researchers and chairs as part of our 125th anniversary! We would love more diabetes researchers at Brum! @DUK_research https://t.co/wUAM9NkYLs
1
1
1
@Orangeroad2017
Liangyi Chen
2 months
A clip summerized our latest meeting of Trans-scale Imaging and Integrated Islet Biology in National Biomedical Imaging Center @NBIC_PKU at PKU @PKU1898. A grand debut for this international meeting in NBIC. Everybody is enjoying the science and others, and hopefully this clip
2
2
17
@DiabetesUK
Diabetes UK
3 months
A first-of-its-kind registry is here to support those who test positive for autoantibodies. Funded by us, led by researchers @UniofOxford, the UK Islet Autoantibody Registry is a gateway to early care and research trials aiming to delay or prevent type 1 🔗 https://t.co/L1MfptTi7y
Tweet card summary image
diabetes.org.uk
The UK Islet Autoantibody Registry aims to transform how people in the early ‘hidden’ stages of type 1 diabetes are monitored and supported, and act as a gateway to ground-breaking clinical trials...
0
4
5
@MichaelMindrum
Michael Mindrum, MD
3 months
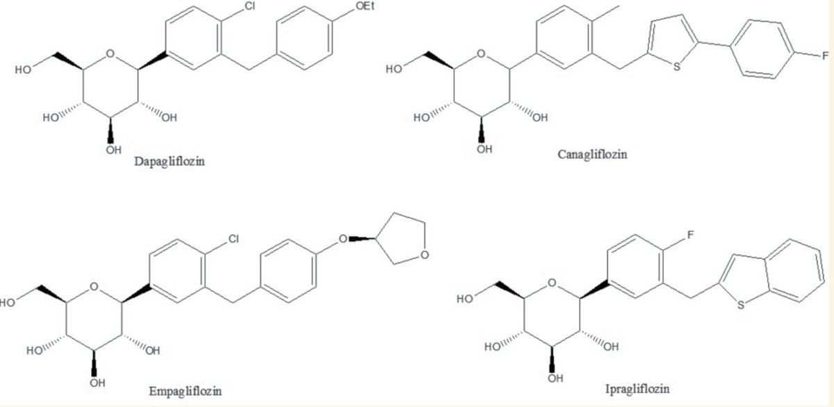
Want to generate billions of dollars and save hundreds of thousands of lives? All you had to do was design these little chemicals! Let me tell you a short story about SGLT2 inhibitors. 🧵 1/n
1
2
6
@DanielJDrucker
Daniel J Drucker
3 months
Our latest survey of widely used reagents for GLP-1 receptor detection @Cell_Metabolism continues to find room for improvement. Trust yet verify, together we can all do our part for reagent validation
Tweet card summary image
cell.com
Glucagon-like peptide 1 receptor (GLP-1R) agonists exhibit anti-inflammatory actions, yet the importance of direct immune cell GLP-1R signaling remains uncertain. Although T cells respond to GLP-1,...
@DanielJDrucker
Daniel J Drucker
3 months
Why are we so laser-focused on accurate detection and localization of the authentic GLP-1 receptor? Science should not be an endeavor where sloppiness is tolerated and excused. Suboptimal science causes confusion, needless controversy and erodes the public trust in scientists
0
9
26
@daveyboyhod
David Hodson
3 months
In some of these papers, glp1r detection is a small element. In others it's a large element. Don't trust antibody vendors, and do the legwork. As a field we are always happy to provide reagents/models to help with validation.
@DanielJDrucker
Daniel J Drucker
3 months
A partial list of papers using the AGR-021 antisera from @Alomone_Labs to detect "the GLP-1 Receptor"; this antibody does not detect the GLP-1R and completely lacks sensitivity and specificity. Free to read @Cell_Metabolism https://t.co/62CVgJJpUr
0
2
17
@DanielJDrucker
Daniel J Drucker
3 months
What proportion of antibodies used for detecting the GLP-1R exhibit high sensitivity and specificity? Sadly, very few, resulting in mis localization and misinterpretation of considerable data in the field https://t.co/62CVgJJpUr @Cell_Metabolism
Tweet card summary image
cell.com
Glucagon-like peptide 1 receptor (GLP-1R) agonists exhibit anti-inflammatory actions, yet the importance of direct immune cell GLP-1R signaling remains uncertain. Although T cells respond to GLP-1,...
2
13
63
@DanielJDrucker
Daniel J Drucker
3 months
Our latest assessment of 3 widely used GLP-1R antisera independently with @daveyboyhod Some are useful, others not fit for purpose. Use of non-validated antisera sows confusion in the field and creates problems that are difficult to later rectify
Tweet card summary image
cell.com
Glucagon-like peptide 1 receptor (GLP-1R) agonists exhibit anti-inflammatory actions, yet the importance of direct immune cell GLP-1R signaling remains uncertain. Although T cells respond to GLP-1,...
0
3
6
@DanielJDrucker
Daniel J Drucker
3 months
More than 10 years ago, we highlighted the problem with widespread use of non-validated GLP-1R antisera. Have things improved? Hard to tell. Yet every few weeks, a new paper using spurious GLP-1R antisera appears, enabling incorrect conclusions https://t.co/0O8AHSpIjQ
4
4
20
@SoleimanpourLab
Scott Soleimanpour
4 months
🚨The @SoleimanpourLab is hiring!!! 🚨 If you or someone you know is looking for a post-doctoral position and interested in studying mitochondria and diabetes, please get in touch (or RT)!
10
88
181
@DrLucyChambers
Lucy Chambers
4 months
The golden era of type 1 diabetes treatment has begun - finally, we have the first of, hopefully, many treatments to address the immune dysfunction at the root of the condition 🙌🏻
@DiabetesUK
Diabetes UK
4 months
Breaking news! 🎉 The first ever immunotherapy drug for type 1 diabetes, teplizumab, has been licensed for use in the UK. Today, the UK’s medicine regulator (MHRA) confirmed teplizumab is safe and effective for people in the early, symptom-free stage 👉 https://t.co/4dIs13xJiD
0
9
21
@DUK_research
Diabetes UK Research
4 months
Thrilled to share that we're establishing the UK’s first Type 1 Diabetes Cell Therapy Clinical Trials Network with support from @NIHRresearch. To speed the journey to bring new, life-changing treatments to people with #Type1Diabetes
@DiabetesUK
Diabetes UK
4 months
📢 Big news from the #Type1DiabetesGrandChallenge We’re investing £5 million over five years to establish a UK-wide Type 1 Diabetes Cell Therapy Clinical Trials Network, supported by @NIHRResearch (1/3)
1
4
11
@greentempleton
Green Templeton College
4 months
Spotted: this beautiful grass snake making the most of the sunshine on the windowsill of one of our properties this week. 🐍 These non-venomous snakes are a special sight in the UK. Totally harmless and brilliant for biodiversity, they love a warm spot to soak up the rays! 😎
0
3
9
@Cell_Metabolism
Cell Metabolism
5 months
New! Online now: Localized GLP1 receptor pre-internalization directs pancreatic alpha cell to beta cell communication https://t.co/wBHO1adn4l
0
27
118
@Orangeroad2017
Liangyi Chen
5 months
Transcale Imaging and Integrated Islet Biology Meeting. So many good researchers and works. Welcome everyone to attend!
0
2
8
@Orangeroad2017
Liangyi Chen
6 months
We are arranging an international islet and transcale imaging meeting in Aug, with a good combination of imaging technology, fluorescent probes, mathematical modeling, and of course, the islet researcher from the world! Here is the preliminary notice. We welcome all of you😀
0
9
34
@CCMN_London
CCMN
9 months
📣 Join the Trapp lab as a Postdoctoral Research Fellow! The Trapp lab is seeking for a highly motivated Research Fellow to explore the role of GLP-1 action within the brain. If you are interested we encourage you to apply! 📍 Location: UCL 📆 Application deadline: March 19th
1
5
5
@TomasLab_ICL
Alejandra Tomás Catalá
10 months
Lectureship position available in my section @ImperialMDR
@CellBiolMDR
Section of Cell Biology and Functional Genomics
10 months
Are you interested in developing a research programme in cell biology of diabetes? Do you work in pancreatic islets and/or other metabolically relevant cell types? We have a Lectureship position opening to establish a lab in our Section at @imperialcollege (link to apply below)
0
4
7