VanessahKurora Profile Banner
MissVEE💰 Profile
MissVEE💰

@VanessahKurora

Followers
4K
Following
130K
Media
4K
Statuses
44K

🍂multifaceted

Kampala, Uganda
Joined December 2014
Don't wanna be here? Send us removal request.
@VanessahKurora
MissVEE💰
2 years
Nothing. I might even sell your table.
@_mmmartha
^3
2 years
as a woman what do you bring to the table?
112
6K
15K
@DeadlyLaw
Deadly Law
18 hours
Nothing humbles you like reading a Supreme Court judgment and realising the point you thought was brilliant was settled in 1985.
2
81
354
@dee_deevyne
Devine Innocent ❤️
15 hours
Been having troubles sleeping, please what song was Burna boy singing when that lady slept off?
137
1K
8K
@elotu_jonathan
Elotu Jonathan
15 hours
Yet again, we managed to get bail for 6 out 33 of our people from Kanyanya Court. Interestingly! one of them was a minor and state was insisting that they check his bones🤦🏾‍♂️. We shall always be there to ensure justice prevails.
32
101
448
@TshepoBacela
Bathong Tshepo
2 days
My nephew (5yr) just asked me what I wanna be when I grow up, I told him I'm already grown he said "Then what are you because you don't look like nothing" I had to go outside and cry a lil bit 😭😭
93
297
3K
@triiadxx
Triiad ୭୭
2 days
Girls…. I understood why they advise us to get married and have kids before 25. Because after that, our brain starts working, and the decision won’t seem so reasonable anymore.
515
10K
86K
@lilmissumie
sumie
2 days
Empathy burnout is so real I'm tired of understanding people
206
30K
89K
@theladymotara
ỌMỌ́TÁRÁ LAWRENCE
2 days
Academic writing will humble you.
109
2K
9K
@_creamss
🍃🌬️
2 days
doing literature review is the worst part of working on a research paper
102
2K
9K
@jeffwellz
Weffrey Jellington
3 days
Scholarship to do masters at an Ivy League school fully funded.
@__theSeyram
Seyram
4 days
starts with S and we all love it?
16
2K
10K
@VanessahKurora
MissVEE💰
1 day
@Kera_legendary
Kera
2 days
Remove that ugly ass gorilla and put Kisutu on the 50k note now.
1
0
15
@VanessahKurora
MissVEE💰
1 day
Can that someone fight? I have a venue in mind
@juliyanlynn
Juliyan
2 days
Someone has said lawyers seem to have everything figured out except their love life😭😭
0
2
10
@MisolaofJesus
Gbemisola Taiwo
2 days
At some point in your life, there will be an urge deep inside you to pursue a Master’s degree. It is very important that you listen to it and go for it.
245
5K
25K
@NC_Renic
Neil Renic
2 days
“Thanks for your email, that sounds like a 2026 problem”
21
5K
20K
@hilary_559
Masego★🌐
2 days
katonda wamani 🥹🙏💗 so Grateful for passing LDC Pre entry examinations.
16
14
91
@MarieStopesUg
Marie Stopes UG
2 days
Public Service Announcement. We might have been caught, yet again and for that, we're sorry. Thanks, Management.
56
890
3K
@VanessahKurora
MissVEE💰
2 days
@???
@nitusiima09
Must be nice indeed
2 days
Removing wedding pictures from your instagram is how we know a rocky marriage these days. Crazy times I tell you!
1
2
67
@brucenahabwe1
Nahabwe Bruce
2 days
Suubi, first daughter cheers up Pres @HEBobiwine, as he returns from today’s rally.
74
364
3K
@TumukundeTT
TumukundeTonny(TT)
2 days
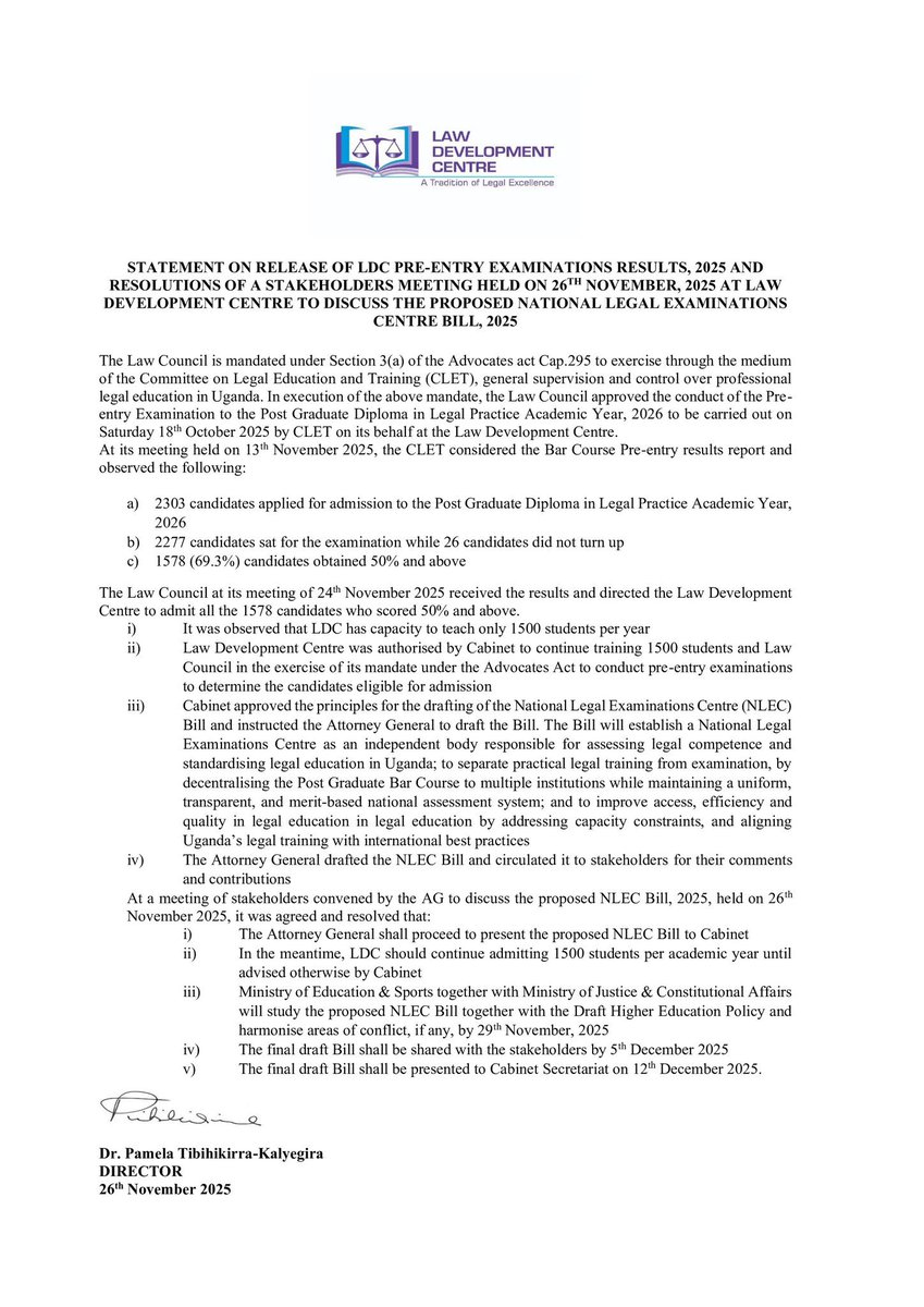
Congratulations to all my young lawyer Friends that have passed the Pre entry Bar Exam. God has been good to you and he will always be. To those that failed, you are not failures in life, you were just unlucky. Next time better. Law is a lifetime course.
7
13
105
@TumukundeTT
TumukundeTonny(TT)
2 days
The return of LDC pre entries. Results are out.
7
16
82
@VanessahKurora
MissVEE💰
3 days
@CanaryMugume
Canary Mugume
3 days
Wow, Victoria University is offering a bachelor of Science in Ai. This is good stuff. Is there any other Uni doing this?
0
0
8