stanfordanes Profile Banner
Stanford Anesthesiology Profile
Stanford Anesthesiology

@stanfordanes

Followers
9K
Following
635
Media
184
Statuses
1K

Providing compassionate, equitable, sustainable, patient-centered care, developing future leaders, and stimulating discoveries that transform the field.

Stanford, CA
Joined January 2011
Don't wanna be here? Send us removal request.
@stanfordanes
Stanford Anesthesiology
4 hours
0
0
0
@stanfordanes
Stanford Anesthesiology
4 hours
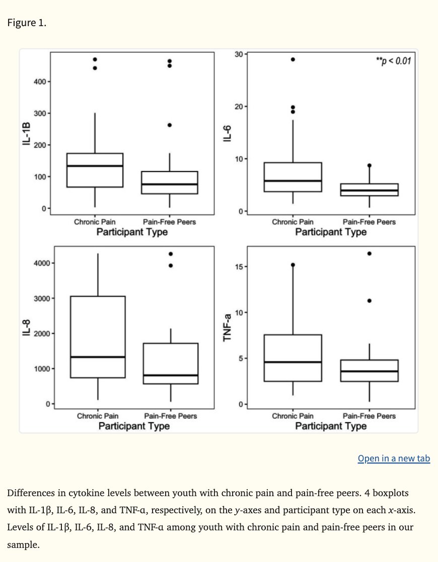
•Some inflammation markers seem more tied to physical pain, while others are linked to fear and emotional distress. This helps researchers better understand chronic pain and may guide future treatments.
1
0
2
@stanfordanes
Stanford Anesthesiology
4 hours
•The study suggests that inflammation may play a role in both how much pain teens feel and how pain affects their mood and behavior.
1
0
1
@stanfordanes
Stanford Anesthesiology
4 hours
•These inflammation markers did not fully explain why depression leads to trouble with daily activities, but they were still closely related.
1
0
1
@stanfordanes
Stanford Anesthesiology
4 hours
•Higher levels of IL-6 were linked to more pain, more stress, and more trouble with daily activities. •Another marker, IL-1β, was linked to feeling more depressed, more worried about pain, and more fear of movement.
1
0
1
@stanfordanes
Stanford Anesthesiology
4 hours
What they found: •Teens with chronic pain had higher levels of one inflammation marker called IL-6.
1
0
1
@stanfordanes
Stanford Anesthesiology
4 hours
Researchers studied teens with chronic pain and teens without pain. They measured substances in the blood called cytokines, which are part of the body’s inflammation response. They also asked teens about pain, mood, stress, and how much pain affected daily life.
1
1
1
@stanfordanes
Stanford Anesthesiology
4 hours
Many teens with chronic pain also feel depressed or stressed. This study looked at whether inflammation in the body might help explain why.
1
1
2
@StanfordPain
Stanford Pain Medicine
1 day
One session. Months of reported improvement. Stanford researchers studied Empowered Relief, a 1-session pain relief skills class, in people with Marfan Syndrome—with promising results. https://t.co/EcBAq3HA99 @BethDarnall @MarfanFdn
Tweet card summary image
painnews.stanford.edu
With few pain treatments available, Stanford researchers test a scalable one-session telehealth class in Marfan and other rare conditions
0
1
3
@stanfordanes
Stanford Anesthesiology
1 day
Dr. Theresa Lii is studying how ketamine can “reprogram” the brain’s pain pathways for patients whose chronic pain hasn’t responded to other treatments. Her work is helping uncover who benefits most and how relief can last. Read more: https://t.co/RKjDVeQBkb
Tweet card summary image
painnews.stanford.edu
Dr. Theresa Lii’s research investigates how ketamine can help reset pain pathways
0
1
3
@stanfordanes
Stanford Anesthesiology
2 days
“I hope this treatment comes out soon, because propofol is powerfully beneficial,” Brunemeier says. “There are people that are suffering terribly who can benefit.”
0
0
0
@stanfordanes
Stanford Anesthesiology
2 days
Though the dreams can feel otherworldly, the purpose of Dr. Chow’s research is therapeutic: to investigate whether anesthesia-induced dreams can aid in healing anxiety, trauma, or depression. Brunemeier also sees the potential beyond his own experience.
1
0
0
@stanfordanes
Stanford Anesthesiology
2 days
For Brunemeier, it wasn’t just a scientific curiosity but a transcendent moment that strengthened his faith.
1
0
1
@stanfordanes
Stanford Anesthesiology
2 days
A physicist with a deep spiritual life, he sees the dream as confirmation of a profound truth: healing can come through metaphysical experiences beyond our understanding.
1
0
0
@stanfordanes
Stanford Anesthesiology
2 days
When he awoke, the feeling stayed with him. “It was infinite joy,” he said. “A picture that God wanted me to have.”
1
0
0
@stanfordanes
Stanford Anesthesiology
2 days
In this reverie, he was driving through brilliant golden fields under a glowing sky, filled with an overwhelming sense of delight and peace.
1
0
0
@stanfordanes
Stanford Anesthesiology
2 days
When Stanford patient Paul Brunemeier underwent shoulder surgery, he agreed to take part in Dr. Harrison Chow’s study exploring anesthesia-induced dreams. He didn’t expect to remember anything, until he found himself in a vivid dream unlike any he’d ever had.
1
0
0
@stanfordanes
Stanford Anesthesiology
3 days
The key message: anesthesia is carefully tailored to you, and your team is focused on keeping you safe and comfortable throughout the process.
0
0
1
@stanfordanes
Stanford Anesthesiology
3 days
Right after anesthesia: Patients often wake up feeling groggy or disoriented, sometimes with mild nausea or a sore throat if a breathing tube was used. Your care team monitors you closely and manages any discomfort, helping you transition safely to recovery.
1
0
0
@stanfordanes
Stanford Anesthesiology
3 days
Before: You may feel a mix of nerves and excitement. Stanford’s Dr. Kelly Fedoruk emphasizes that this is normal—your anesthesia team will be there to guide you, answer questions, and ensure you feel safe/comfortable. Some feel drowsy or relaxed as the medication takes effect.
1
0
1