Chris Karpowitz Profile
Chris Karpowitz

@ProfKarpo

Followers
1K
Following
5K
Media
64
Statuses
2K

Professor of Political Science, BYU; 2015 Senior Visiting Professor, CSDI, Vanderbilt; father of four; forever a Jayhawk

Joined May 2013
Don't wanna be here? Send us removal request.
@RedditCFB
RedditCFB
6 months
New rivalry just dropped.
92
286
8K
@PoPpublicsphere
Perspectives on Politics
11 months
NOW OUT ON FIRSTVIEW! Race, Voice, and Authority in Discussion Groups https://t.co/lTpUqENc8b By @elizabethmelder, @ProfKarpo & @TMendelberg
0
1
1
@apsrjournal
American Political Science Review
2 years
@ProfKarpo, @quinmonson, @jrpjrpjrp, & @agimenez05 argue that existing explanations of the partisan gender gap undervalue voters’ contributions by focusing on voter responses to candidate sex rather than candidate gender. #APSRFirstView. https://t.co/R6CkDHNs0c
0
9
19
@OlgaStoddard
Olga Stoddard
2 years
🥳🥹 Almost nine (!!) years after the first pilot, this paper with @ProfKarpo, @steveoconnell1 & @jrpjrpjrp is accepted @JPolEcon! It's been one of my favorite and most impactful projects, so including a short 🧵 below. Full paper here: https://t.co/FwJi1Reweb
11
68
280
@CUP_PoliSci
Cambridge University Press - Politics
2 years
#OpenAccess from @apsrjournal - Selecting for Masculinity: Women’s Under-Representation in the Republican Party - https://t.co/ELmnr65ogq - @profkarpo, @quinmonson, JESSICA R. PREECE & ALEJANDRA ALDRIDGE (all @BYU) #FirstView
0
3
3
@EthanBusby
Ethan Busby
2 years
New article @PNASNews with @joshua_gubler , @lpargyle , @chris_bail , @davidwingate , @ma_tay_ , Vin Howe, and @ChrisRytting on how AI tools can improve democratic discourse. It's open access at this link: https://t.co/vmkIsa4JaV We explore how an AI chat assistant can act...
Tweet card summary image
pnas.org
Political discourse is the soul of democracy, but misunderstanding and conflict can fester in divisive conversations. The widespread shift to onlin...
1
23
42
@radiowest
KUER's RadioWest
2 years
What does it mean when we decide we don't have obligations to each other? BYU political science professors Chris Karpowitz and Kelly Patterson spent several years studying this and wrote a paper on it. Join us today at 11:00 for the interview.
0
2
4
@ProfKarpo
Chris Karpowitz
2 years
Kelly Patterson and I enjoyed a chance to chat with Doug Fabrezio about our recent work on moral individualism. @radiowest @KUER https://t.co/Kbvj5MNTwf
Tweet card summary image
radiowest.kuer.org
American culture promotes a strong sense of individualism. But, what happens when individualism trumps community?
1
4
9
@ProfKarpo
Chris Karpowitz
2 years
So, apparently Twitter is rebranding as Xerox?
0
0
6
@SpencerJCox
Spencer Cox
2 years
Sister Holland was one of the kindest and most caring people on this earth. Her loss will be felt deeply by our family and so many more. Our prayers are with her wonderful family at this difficult time.
@Ch_JesusChrist
The Church of Jesus Christ of Latter-day Saints
2 years
Patricia Terry Holland, the wife of Elder Jeffrey R. Holland of the Quorum of the Twelve Apostles and a former counselor in the Young Women General Presidency, passed away peacefully on July, 20, 2023, after a brief hospitalization. She was 81. https://t.co/EOtlqPLLKF
4
12
430
@ProfKarpo
Chris Karpowitz
2 years
Yes, constitutionalism is not merely for lawyers! I would add that political scientists have important and valuable perspectives on constitutionalism and constitutional history, too. @JeremyCPope @kewhittington @JRakove
1
1
4
@ProfKarpo
Chris Karpowitz
2 years
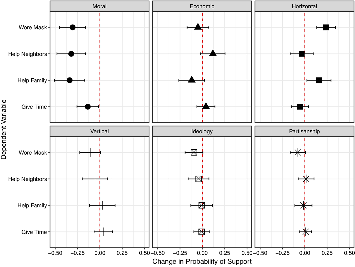
Moving from the scale minimum to maximum of moral individualism was associated with a more than 30 percentage-point decrease in the predicted probability of reaching out to family, helping neighbors, and wearing a mask, even after controlling for partisanship.
1
0
0
@ProfKarpo
Chris Karpowitz
2 years
I'm so pleased this new work with Kelly Patterson is appearing at @PoPpublicsphere. We introduce a new measure of individualism and show how it relates to efforts to promote the common good or assist the community during the pandemic. https://t.co/gSrbPpBTp2
1
3
6
@ProfKarpo
Chris Karpowitz
3 years
The giggling, cheering, rapturous audience was the most disturbing part of last night. A sobering lesson in demagoguery and its intended effects.
0
0
6
@dbroockman
David Broockman
3 years
Had a great day visiting @BYU political science. I felt bad for being continually distracted by their department's amazing mountain views. Thank you @EthanBusby & @mbarber83 for the invite and great feedback!
1
3
51
@owasow
Omar Wasow | @[email protected]
3 years
Study out today by Alan N Yan and @RIBernhard randomly assigns gendered names to campaign volunteers. Finds outbound texts from “female-named volunteers receive more offensive, silencing, and withdrawal responses than male or ambiguously named volunteers.” https://t.co/WMrSatKEg1
1
25
55
@ProfKarpo
Chris Karpowitz
3 years
April 4, 2023. Yes, April, not February.
0
0
1