MoFarah03 Profile Banner
Mo Farah Profile
Mo Farah

@MoFarah03

Followers
9K
Following
4K
Media
1K
Statuses
10K

M.A. in Human Rights & Dev’t, Disability Access Auditor @Donegalcil1, Disability Rights Activist, Polio survivor, Wheelchair user.

Joined October 2013
Don't wanna be here? Send us removal request.
@TomClonan
Dr Tom Clonan
8 hours
My Disability Rights Bill ‘23 completed its passage in Seanad https://t.co/g5woZlhWdZ An Unequal & Cruel Power Imbalance exists between #Disabled Citizens & Service Providers -This Bill Reverses this Inequality Creating a Legal Rights-Based Entitlement to Supports PAs & Inclusion
4
24
98
@EIshmael_
Elham Ishmael ✍︎
16 days
Emails from 2011 show Jeffrey Epstein communicating with Sultan Ahmed bin Sulayem, CEO of DP World, about GPS-tracked “smart shoes” meant to monitor children and clients. Given DP World’s deep ties to Emirati intelligence and Epstein’s involvement, DP should be banned from
9
41
142
@MoFarah03
Mo Farah
30 days
The UAE has been arming the Islamist militia Janjaweed aka RSF, to devastate Sudan committing horrific atrocities against Sudanese civilians, including women and children according to reports by The Wall Street Journal.
0
0
0
@TRobinsonNewEra
Tommy Robinson 🇬🇧
1 month
Just like Nigeria. Islamist groups terrorize and kill the people of Sudan. Everywhere they go, the same. https://t.co/87uun7JrQF
2K
6K
24K
@MoFarah03
Mo Farah
1 month
RSF militants islamists backed by Emirates committing serious of mass atrocities in Sudan.
@D_Tarczynski
Dominik Tarczyński MEP
1 month
Sudan. Genocide of Christians by the Islamists.
0
0
0
@D_Tarczynski
Dominik Tarczyński MEP
1 month
Sudan. Genocide of Christians by the Islamists.
2K
6K
29K
@warfareanalysis
Warfare Analysis
1 month
An Emirati officer to a member of the RSF militia: “Do not photograph the weapons provided by the UAE they are among the strongest in the world. Brothers, this is forbidden. New vehicles arrive, do not photograph them. By that picture you tell the world there is a state
103
3K
6K
@__Injaneb96
ثنا ابراهیمی | Sana Ebrahimi
1 month
Islamist militants are killing women and children and terrorizing civilians. It is so heartbreaking to see loud voices on social media stay silent. Those who have been lecturing us on “genocide” for the past two years are suddenly out of words.
3K
27K
70K
@dfatirl
Irish Foreign Ministry
1 month
Tánaiste @SimonHarrisTD has called for an immediate cessation of atrocities in Sudan following the take-over of the city of El Fasher.
109
45
117
@SudanPlusNews
Sudan Plus سودان بلس
1 month
ادعوا للفاشر، تحدثوا عن #الفاشر #AlFashir
145
4K
6K
@MoFarah03
Mo Farah
1 month
The Arab militia Janjaweed/RSF are deliberately targeting, killing, and raping Sudanese Black people women and children among them. This mother and her children were murdered by these Emirate-funded killers. Why is the world silent while a genocide unfolds in Sudan?
0
0
0
@MoFarah03
Mo Farah
1 month
The killer of Sudan civilians, @eAndUAE @UAEEmbassyUS
0
0
0
@Adelalhasanii
عادل الحسني
1 month
عليك، وعلى حميدتي دقلو، وداعمه ابن زايد، من الله ما تستحقون
2K
4K
11K
@MoFarah03
Mo Farah
1 month
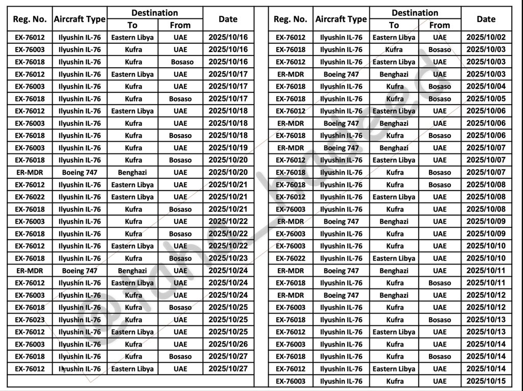
The UAE sent 57 Arms supply planes to their proxy genocidal RSF militia during October,
0
0
0
@MoFarah03
Mo Farah
1 month
This mother and her child are preparing for death inside their own grave. The world stays silent as Emirate-funded Islamist militia RSF commits unspeakable atrocities in Sudan. How many more lives must be buried before humanity wakes up? #SudanGenocide #RSF #Emirates
0
1
2
@MoFarah03
Mo Farah
1 month
It’s my pleasure to be part of the 2025 graduates of ATU University today.
0
0
0
@MoFarah03
Mo Farah
1 month
Why Gaza is more important the SUDAN? This is Sudan’s genocide supported by UAE @modgovae The world stays silent as RSF mercenaries commit unspeakable atrocities: killing, rape, and mass displacement. 13 million lives shattered. Silence is complicity. @elonmusk @visegrad24 #Sudan
0
0
0
@MoFarah03
Mo Farah
1 month
Why is Gaza more important than SUDAN? Over 13 million Sudanese are displaced no food, no water, and no shelter. Thousands civilians including children and women killed and raped by RSF militias funded by the UAE.@UAEMissionToUN This is genocide, yet the world is silent because
0
1
2