LeoTZ03 Profile Banner
Leo Zang @NeurIPS Profile
Leo Zang @NeurIPS

@LeoTZ03

Followers
3K
Following
3K
Media
389
Statuses
1K

Protein Designer | Share Reading Notes (AI+Protein/RNA/DNA) | PhD student @harvardmed @DeboraMarksLab | Hosting @ml4proteins

Boston, MA
Joined March 2024
Don't wanna be here? Send us removal request.
@LeoTZ03
Leo Zang @NeurIPS
1 year
Collection of Papers and Posts https://t.co/gRDEwd9y5a
0
21
81
@LeoTZ03
Leo Zang @NeurIPS
10 hours
Slack - NeurIPS 2025!
@DeltaInstitutes
Delta Institute @ NeurIPS
12 hours
850+ people already in the unofficial NeurIPS 2025 Slack, link to join below! https://t.co/xolQoqSE8c
0
0
3
@ScienceMagazine
Science Magazine
5 days
Some archaea—an ancient group of microorganisms—have an entirely novel genetic code, according to a new study in Science. Their genetic code reassigns a DNA “stop” signal to incorporate the rare amino acid pyrrolysine into their proteins. The findings expand our understanding
8
139
487
@ketd47
Aniket Das
7 days
holy fuck this is huge. https://t.co/97uT1ILMPg
99
155
4K
@AndrewYNg
Andrew Ng
8 days
Releasing a new "Agentic Reviewer" for research papers. I started coding this as a weekend project, and @jyx_su made it much better. I was inspired by a student who had a paper rejected 6 times over 3 years. Their feedback loop -- waiting ~6 months for feedback each time -- was
235
1K
6K
@DawidZyla
Dawid Zyla
9 days
Proteins are dynamic, yet structural biology often depicts them as static. Inspired by long-exposure photography and generative art, I created ProteinCHAOS, an artistic tool that uses molecular dynamics to visualize protein flexibility over time, like a long-exposure photo.
7
24
186
@deboramarks
Debora Marks
8 days
New paper “Proteome-wide model for human disease genetics” is now live at Nature Genetics: https://t.co/3UKcPlepDV popEVE ( https://t.co/HuxeGfe0g0) finds the needles in the haystacks of human genetic variation:
1
59
173
@davidrliu
David R. Liu
13 days
Today in @Nature we report a new prime editing strategy that can rescue a common cause of many genetic diseases in a disease-agnostic manner. This approach converts a redundant endogenous tRNA into an optimized suppressor tRNA, enabling a single prime edit to rescue premature
34
387
1K
@grocklin
Gabriel Rocklin
13 days
New preprint! We measured temperature- and pH-induced aggregation for over 18,000 natural and de novo designed protein domains!
16
123
656
@ml4proteins
Machine learning for protein engineering seminar
13 days
@Micro_Yunha's early-career talk is happening today at 4PM ET!
@ml4proteins
Machine learning for protein engineering seminar
19 days
Next Tues (11/18) at **2PM** ET, @richardwshuai will present "Ensemble-conditioned protein sequence design with Caliby" Paper: https://t.co/ZDqfRNtKQE Then, on Wed (11/19) at 4PM ET, @Micro_Yunha will give an early-career talk on her research!
0
4
6
@aditimerch
Aditi Merchant
13 days
What if we could autocomplete DNA based on function? Today in @Nature, we share semantic design—a strategy for function-guided design with genomic language models that leverages genomic context to create de novo genes with desired functions.🧵 https://t.co/P5qVJB3qIY
16
154
590
@cgeorgiaw
Georgia Channing
14 days
🚀🚀🚀Huge pharma drop today from @EvEBiotech 💊💊💊 Every drug vs every druggable human protein. 385,572 combinations (so far). The largest drug-target dataset ever created. And it's still growing on @huggingface. The impact will be huge ⤵️
9
41
262
@LeoTZ03
Leo Zang @NeurIPS
18 days
New Model Dropped by Profluent! “open sourcing E1 for free research and commercial use”
@ProfluentBio
Profluent
19 days
Protein language models just got an upgrade. Meet Profluent-E1: a free, flexible, frontier protein sequence encoder. E1 is built with retrieval augmentation to learn from multiple sequences. Models trained over 4T tokens with only 150M-600M params, E1 is SOTA for zero-shot
0
0
15
@ml4proteins
Machine learning for protein engineering seminar
19 days
Next Tues (11/18) at **2PM** ET, @richardwshuai will present "Ensemble-conditioned protein sequence design with Caliby" Paper: https://t.co/ZDqfRNtKQE Then, on Wed (11/19) at 4PM ET, @Micro_Yunha will give an early-career talk on her research!
Tweet card summary image
biorxiv.org
Structure-conditioned sequence design models aim to design a protein sequence that will fold into a given target structure. Deep-learning-based approaches for sequence design have proven highly...
0
4
16
@LeoTZ03
Leo Zang @NeurIPS
20 days
Whoa 🤯
@louisnandre
Louis Andre
22 days
Today, we're announcing @epistemescience, a new type of R&D company that recruits exceptional scientists to pursue high-impact ideas. Science isn’t bottlenecked by the availability of talent, but by places where they can do their best work. Scientific progress has driven human
0
0
2
@deboramarks
Debora Marks
22 days
Self promotion - but also to say I’m very grateful to my lab who got us here, the reviewers time and the Pritzker foundation.
8
8
74
@NatureBiotech
Nature Biotechnology
29 days
New approaches to engineering plant immunity can more broadly protect crops against pathogens and disease, once they get through regulatory hurdles https://t.co/Or7p201yOR https://t.co/AeFs0d1718
0
24
110
@stevenyuyy
Steven Yu
29 days
Introducing Molview - the ipython/jupyter widget version of nano-protein-viewer🔍:
12
172
1K
@RockefellerUniv
Rockefeller University
1 month
In @Nature: Using AI and other cutting-edge techniques, the Klinge lab has captured the first near-continuous "molecular movie" of ribosome formation—revealing, frame by frame, how cells build the protein factories that make life possible. More here: https://t.co/oslz0Zed5s
2
50
249
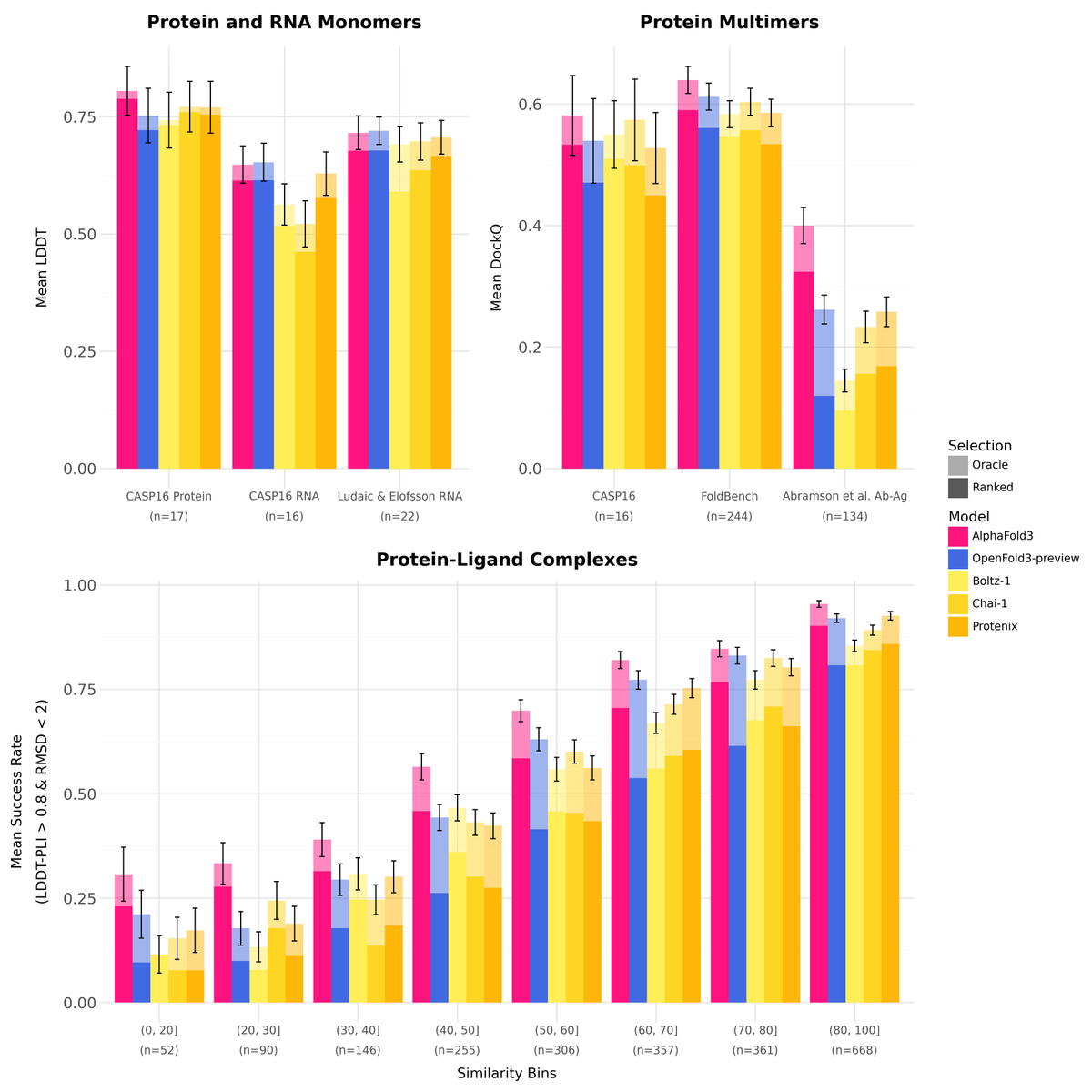
@MoAlQuraishi
Mohammed AlQuraishi
1 month
OpenFold3-preview (OF3p) is out: a sneak peek of our AF3-based structure prediction model. Our aim for OF3 is full AF3-parity for every modality. We now believe we have a clear path towards this goal and are releasing OF3p to enable building in the OF3 ecosystem. More👇
3
65
218
@LeoTZ03
Leo Zang @NeurIPS
1 month
0
11
46