Harpreetsb89 Profile Banner
Harpreet Singh Profile
Harpreet Singh

@Harpreetsb89

Followers
94
Following
206
Media
8
Statuses
161

Dortmund, Germany
Joined December 2014
Don't wanna be here? Send us removal request.
@LabNmr
NMRLab@IISERMohali
1 month
Excited to share the lineup of workshops at upcoming international conference QFTA 2025 @IiserMohali @qfta2025
@qfta2025
QFTA2025
1 month
(1/4) We are excited to announce Four different workshops on Quantum Information (Fundamental and Applied) as part of the upcoming International Conference QFTA-2025 at IISER Mohali during December 4-8 2025.
0
1
3
@arvind_iiserm
arvind
7 months
We lost a 99.5 years old stalwart mathematician of India, today. R P Bambah, a graduate of Lahore, was an international name in Number Theory and provided leadership to #panjabuniversity VC . It is an irrecoverable loss for the world of mathematics and for Punjab.
0
10
68
@jsbagla
Jasjeet Singh Bagla
9 months
An online course on the historical development of astronomy in India and the south Asian region. For more details, see https://t.co/gbDB2cf3mo @astro_iiserm @asipoec @AstroclubIISERM @IiserMohali @IAU_Outreach
1
18
45
@Shan3655
Sh@Nุดุงู†
1 year
@narendramodi Last speech of Dr. Manmohan Singh as Prime Minister. #Manmohan #ManmohanSingh #TheBestPMever
7
180
1K
@kavitadorai
kavitadoraiNMR
1 year
Good work ๐Ÿ‘
@arvind_iiserm
arvind
1 year
Thanks to collaborators,Kavita,Chandan, Akshay, Vaishali, Akanksha, Krishna, Jorawar, Sarbani, Mohak and Gayatri, we have double digit submssions to quant-ph in 2024!
0
3
8
@lab_ajoy
Ajoy Lab @ Berkeley
1 year
Prof. Cynthia Jameson (UIC) delivered an inspiring Alexander Pines lecture at @UCB_Chemistry yesterday.
0
5
25
@JinsongHuangUNC
Jinsong Huang
1 year
Postdoc position open: We are looking for a postdoc fellow with solid background in material physics, defects, optical and electronic measurement. This is not a position for device fabrication.ย  Thanks for pass the message if you know a good candidate.
11
74
255
@lab_ajoy
Ajoy Lab @ Berkeley
1 year
(1/2) Recently published to Nano Letters, PhD candidate Brian Blankenship has developed a means to pattern dense layers of nanodiamonds (NDs) into intricate patterns. As a demonstration, NDs are crafted into the image of the artwork, "The Creation of Adam" (seen below).
2
8
18
@lab_ajoy
Ajoy Lab @ Berkeley
1 year
(2/2) Beyond just patterning, this work employs a lock-in ODMR imaging scheme to spatially map 2D microscale temperature profiles generated from laser heating. Future research is working to adapt both laser patterning and imaging techniques to 3D. ๐Ÿ”— https://t.co/pC6RjUWjm5
Tweet card summary image
pubs.acs.org
Nitrogen-vacancy (NVโ€“) centers in nanodiamonds have emerged as a versatile platform for a wide range of applications, including bioimaging, photonics, and quantum sensing. However, the widespread...
0
5
14
@lab_ajoy
Ajoy Lab @ Berkeley
2 years
Take a look at Adrisha & Zack's work developing a flow-based high-precision chemical detection method by integrating quantum sensing w/ droplet microfluidics. Droplets encapsulate ND quantum sensors & analytes to measure analytes w/ low LOD.(1/6)#NMRchat https://t.co/rmbBtCNYHO
1
12
26
@lab_ajoy
Ajoy Lab @ Berkeley
2 years
Checkout our new preprint led by Leo and Paul from @UCB_Chemistry, a collaboration with Roderich Moessner, @MarinBukov, and @zhao_hongzheng! We experimentally realize a time rondeau crystal, which pushes time-crystalline behavior beyond periodic drives! https://t.co/KViRgzkugL
3
10
22
@PrinSciAdvOff
Office of Principal Scientific Adviser to the GoI
2 years
India must pour more money into science, says PSA Prof. Ajay Kumar Sood in an exclusive by Nature India (@NatureInd) Read the full article here: https://t.co/I9gYodqng1 @Subhrapr
2
44
148
@PbiUniPatiala
Punjabi University, Patiala
2 years
เจ‰เจช-เจ•เฉเจฒเจชเจคเฉ€ เจชเฉเจฐเฉ‹. เจ…เจฐเจตเจฟเฉฐเจฆ,เจœเฉ‹ เจ•เจฟ เจ‡เฉฑเจ• เจชเฉเจฐเจธเจฟเฉฑเจง เจญเฉŒเจคเจฟเจ• เจตเจฟเจ—เจฟเจ†เจจเฉ€ เจนเจจ,เจชเจนเจฟเจฒเฉ€ เจฎเจพเจฐเจš เจจเฉ‚เฉฐ เจ•เจฐเจจเจพเจŸเจ•เจพ เจตเจฟเจ–เฉ‡ เจ…เจœเจผเฉ€เจฎ เจชเฉเจฐเฉ‡เจฎเจœเฉ€ เจฏเฉ‚เจจเฉ€เจตเจฐเจธเจฟเจŸเฉ€ เจตเฉฑเจฒเฉ‹เจ‚ เจชเฉเจฐเจพเจชเจค เจธเฉฑเจฆเฉ‡ เจ‰เฉฑเจคเฉ‡ เจ•เฉเจ†เจ‚เจŸเจฎ เจญเฉŒเจคเจฟเจ• เจตเจฟเจ—เจฟเจ†เจจ เจœเจ—เจค เจฌเจพเจฐเฉ‡ เจ†เจชเจฃเจพ เจญเจพเจธเจผเจฃ เจฆเฉ‡เจฃเจ—เฉ‡: @arvind_iiserm @BhagwantMann @harjotbains @Sandhwan @HarpalCheemaMLA @IiserMohali @azimpremjiuniv
0
1
2
@ReimerLab
Reimer Lab
2 years
New Pines Center at the College of Chemistry resonates withย promise! Thank Mr. Gordon Getty for his continuous support for NMR scientific research. https://t.co/4M4rgtiDUZ
1
6
24
@ReimerLab
Reimer Lab
2 years
February 28, 2024 Carbon and Energy: A Call for Justice 10:15 - 11:30 a.m. 180 Tan Hall Speaker: Jeff Reimer, Professor, University of California Berkeley Contact Info: Polly Ng 510-589-6478 pollyn@berkeley.edu https://t.co/7TSHq8IUnx
events.berkeley.edu
How are we to source our future energy supplies? The atmosphere is changing because humans are combusting hydrocarbons to provide themselves with m...
0
4
13
@lab_ajoy
Ajoy Lab @ Berkeley
2 years
Check out our new preprint from @UCB_Chemistry with @jonbreeze and @ReimerLab! We show how photoexcited electron spins in pentacene/p-terphenyl crystals can be used as quantum sensors at ambient conditions. #NMRchat (1/4) https://t.co/LJbOrzLisN
2
13
47
@lab_ajoy
Ajoy Lab @ Berkeley
2 years
We observe long spin coherence times of 18.4 us at RT with CPMG dynamical decoupling techniques. We observe T1 and T2* coherence times of 22.9 us and 487 ns, respectively. See related work at https://t.co/kyYRKeIwMY (4/4)
0
1
6
@lab_ajoy
Ajoy Lab @ Berkeley
2 years
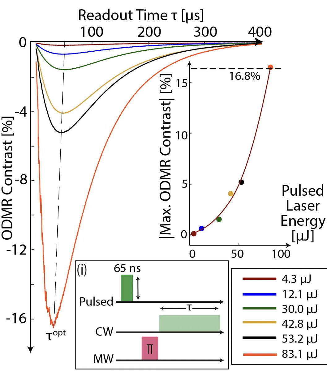
Spins can be optically initialized with laser light and optically readout as well. Coherent control of triplet electrons via microwaves produces state-dependent fluorescence with high 16.8% contrast. (3/4)
1
1
4