Jerome HADJADJ
@HadjadjJerome
Followers
825
Following
5K
Media
14
Statuses
2K
MD PhD in Immunology/Internal Medicine @SaintAntoineHospital/ Immunogenetics of autoimmunity @ImagineInstitute/@NYULangone @Becklab
Manhattan, NY
Joined April 2020
Original Article: Trial of Pegcetacoplan in C3 Glomerulopathy and Immune-Complex MPGN (VALIANT phase 3 trial) https://t.co/YcOMokGIEN Editorial: Pegcetacoplan for Treatment of C3 Glomerulopathy and Immune-Complex MPGN https://t.co/FiFBEZFEQL
#Nephrology
0
4
28
Prime Editing for p47phox-Deficient Chronic Granulomatous Disease
nejm.org
Chronic granulomatous disease (CGD) is a severe monogenic immunodeficiency caused by damaging variants in genes required for microbicidal NADPH oxidase activity. Autosomal recessive p47phox-deficie...
0
2
3
Human plasma proteomic profile of clonal hematopoiesis
nature.com
Nature Communications - Somatic mutations in blood cells (CHIP) are linked to diseases like heart disease, but the mechanisms are unclear. Here, the authors show that different CHIP driver genes...
0
2
3
We believe these findings open new perspectives at the interface of clonal hematopoiesis, inflammation and immune-mediated disease — and reinforce the need to consider somatic mutations in inflammatory patients with hematologic abnormalities. @vjachiet @mekinian2 @RomainStammler
0
0
1
The study also reports that targeted IDH inhibitors lead to substantial resolution of inflammatory symptoms and reductions in markers such as CRP — supporting the idea that IDH mutations are not just linked to cancer but may directly drive inflammation.
1
0
1
In patients with myeloid neoplasms, IDH-mutated cases are more frequently associated with rheumatologic inflammatory manifestations (PMR++).
1
0
0
We're glad to share this article published in @Hemasphere_EHA showing that mutations in IDH (IDH1/2) can act as drivers of inflammation.
onlinelibrary.wiley.com
Click on the article title to read more.
1
5
11
We believe these findings open new perspectives at the interface of clonal hematopoiesis, inflammation and immune-mediated disease — and reinforce the need to consider somatic mutations in inflammatory patients with hematologic abnormalities. @vjachiet @mekinian2 @RomainStammler
0
0
0
The study also reports that targeted IDH inhibitors lead to substantial resolution of inflammatory symptoms and reductions in markers such as CRP — supporting the idea that IDH mutations are not just linked to cancer but may directly drive inflammation.
1
0
0
Shining tonight in honor of the Lupus Research Alliance Annual Gala with @LupusResearch Text CONNECT to 274-16 to get alerts on our Lights! Watch tonight's lighting here: https://t.co/hz2FQavwPl
7
33
141
Presented at #SVIN25: CREST-2: In high-grade asymptomatic carotid stenosis, addition of stenting to medical therapy led to a lower risk of stroke over a 4-year period. Endarterectomy did not lead to a significant benefit. Full results: https://t.co/ZHLCV9ukNU Editorial:
9
327
683
🚨Thrilled to share our latest work, published online today @Nature in which we decipher mechanisms underlying the enigmatic VEXAS syndrome - a huge team effort @MSKCancerCenter led by superstars @VarunNarendraMD + @das_tandrila 🧵1/ https://t.co/0ubLHCbR9I
nature.com
Nature - Independent mechanisms of inflammation and myeloid bias in VEXAS syndrome
10
38
142
Independent mechanisms of inflammation and myeloid bias in VEXAS syndrome Nature
nature.com
Nature - Independent mechanisms of inflammation and myeloid bias in VEXAS syndrome
0
2
5
Scalable generation and functional classification of genetic variants in inborn errors of immunity to accelerate clinical diagnosis and treatment
cell.com
In lieu of traditional genetic variant testing approaches, an approach using scalable variant classification in primary human T cells with a clinically relevant readout can inform rapid diagnosis and...
0
0
2
This is the NYC village Parade and it’s definitely one of a kind and fantastic as they’re dancing to Thriller by the late great Michael Jackson! 👇👇👇👇
1K
16K
87K
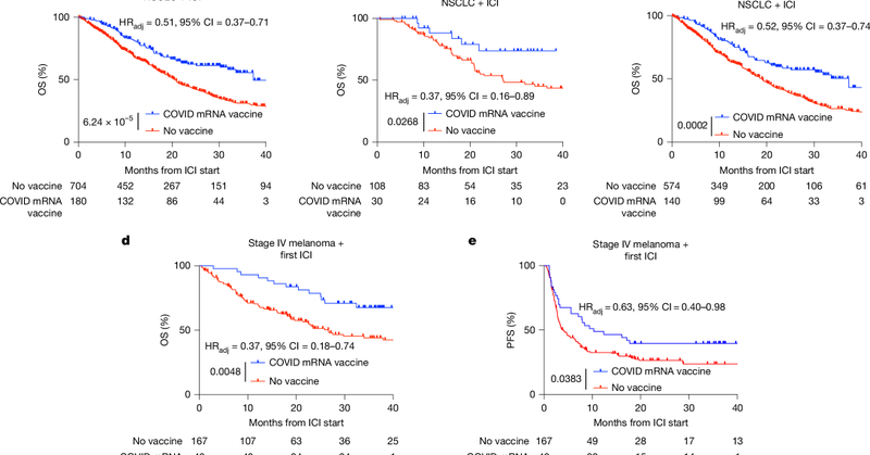
SARS-CoV-2 mRNA vaccines sensitize tumours to immune checkpoint blockade
nature.com
Nature - mRNA vaccines targeting SARS-CoV-2 also sensitize tumours to immune checkpoint inhibitors.
0
0
3
Our immune system is an evolutionary masterpiece. Every day it protects us from the thousands of different viruses, bacteria and other microbes that attempt to invade our bodies. Without a functioning immune system, we would not survive. One of the immune system’s marvels is its
89
3K
8K
#Comparative efficacy and safety of #anakinra and canakinumab ⬇️ in patients with #VEXAS syndrome - an international multicenter study https://t.co/tg7iWU2Afl
acrjournals.onlinelibrary.wiley.com
Objectives The aim of this study was to compare differences in clinical response, drug survival, and adverse event rates between anakinra and canakinumab in VEXAS syndrome. Methods This multicente...
0
21
55
VEXAS syndrome anemia is a mosaic erythroblastopenia
ashpublications.org
Key Points. UBA1-mutated erythropoiesis is defective and red blood cells in VEXAS patients are produced by wild-type erythroblastsIn vitro VEXAS erythropoi
0
6
22