FilippoPietran4 Profile Banner
Filippo Pietrantonio Profile
Filippo Pietrantonio

@FilippoPietran4

Followers
1K
Following
5K
Media
369
Statuses
2K

Medical Oncologist focused on #GI cancers. @IstTumori @FoundationGONO

Milano, Lombardia
Joined September 2019
Don't wanna be here? Send us removal request.
@FilippoPietran4
Filippo Pietrantonio
2 days
1
1
16
@FilippoPietran4
Filippo Pietrantonio
7 days
Progression-free survival as a surrogate for overall survival in gastro-esophageal cancer trials with immunotherapy: A meta-analysis. https://t.co/42gDXziDI9 Important for ARMANI2๐Ÿ‘‡๐Ÿป Ready to start in 2026
0
0
8
@AngelicaSSophie
Angelica Petrillo
27 days
๐ŸŽง New @myESMO GI podcast! Get the latest insights on upper GI cancers ๐Ÿ”‘ updates on oesophageal & #gastric cancer from the #ESMOCongress 2025 @FilippoPietran4 @tfleitask ๐Ÿ”ˆListen now: ๐Ÿ”— https://t.co/haOKpDDjr0 ๐Ÿ”— https://t.co/7M3recvWqw #Oncology #GIcancer #CancerResearch
Tweet card summary image
open.spotify.com
ESMO Podcasts ยท Episode
0
4
8
@myESMO
ESMO - Eur. Oncology
1 month
๐Ÿ”ฌ Gastrointestinal Cancers Genomic-guided adjuvant therapies, immune checkpoint combos, and novel targeted agents โ€” all in one session. Watch now: https://t.co/lN31Dt7EPK #ESMO25 #ESMOWebinars
1
1
2
@OncJournal
The Oncologist
1 month
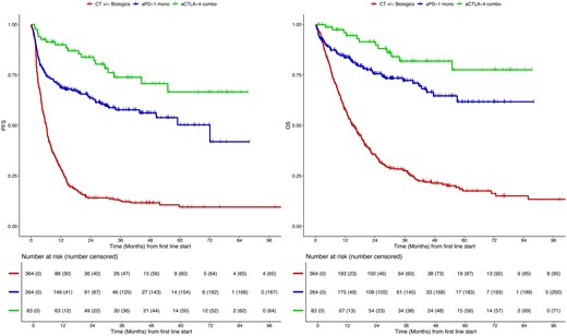
In #dMMR metastatic #crcsm, first-line dual #IO outperformed both #PD1 monotherapy and chemotherapy with manageable toxicity. Benefits were strongest in #left-sided or #BRAF mutant tumors #GIonc @FilippoPietran4 @susanebates @gbanna74 @PasRescigno https://t.co/YKpxfW1NPc
0
7
10
@sundar__raghav
Raghav Sundar
1 month
Sharing our work in the spatial biology of HER2+ gastric cancer @GUTJournal_BMJ. Figuring out and targeting the tumor microenvironment is an exciting time for cancer therapeutics. @FilippoPietran4 @josephjzhao @KoheiShitara
Tweet card summary image
gut.bmj.com
Background Human epidermal growth factor receptor 2 (HER2; ERBB2 ) is overexpressed or amplified in 15โ€“20% of gastric cancers (HER2+ GC). Within individual HER2+ GCs, HER2/ ERBB2 expression is often...
0
6
19
@oncodaily
OncoDaily
1 month
โœจ ๐— ๐—ถ๐˜€๐˜€๐—ฒ๐—ฑ ๐—˜๐—ฆ๐— ๐—ข ๐—š๐—œ ๐—š๐—ฟ๐—ฎ๐—ป๐—ฑ ๐—ฅ๐—ผ๐˜‚๐—ป๐—ฑ๐˜€? It wasnโ€™t just a session โ€” it was ๐Ÿ’ฌ connection, ๐Ÿค mentorship, and ๐ŸŒ the pulse of global oncology in one evening. From HER2 to ctDNA and next-gen immunotherapy, the biggest minds broke down whatโ€™s next in GI oncology.
1
4
14
@myESMO
ESMO - Eur. Oncology
1 month
Registration is open for the #ESMO25 Congress Highlights Webinar on #GastrointestinalCancers! ๐ŸŽ“ Expert insights, clinical relevance, live Q&A โœ… Free for all ESMO account holders #ESMOWebinars ๐Ÿ”— https://t.co/hAwmIFGzXs
1
7
12
@FilippoPietran4
Filippo Pietrantonio
2 months
Risk of disease progression in first-line metastatic colorectal cancer therapy to guide disease reassessmentsโ€•analysis of 11 trials by AIO and GONOโ˜† - Annals of Oncology https://t.co/vxIzpVEHM7 How many times your patients were not able to book a scan? Risk adapted guidance !
Tweet card summary image
annalsofoncology.org
We evaluated the distribution and risk of disease progression (PD) in first-line therapy of unresected metastatic colorectal cancer (mCRC) patients receiving chemotherapy + biologics. The aim of the...
0
4
9
@NEJM
NEJM
2 months
๐—ฃ๐—ฟ๐—ฒ๐—ฝ๐—ฎ๐—ฟ๐—ถ๐—ป๐—ด ๐—ง๐—ฟ๐—ฎ๐—ถ๐—ป๐—ฒ๐—ฒ๐˜€ ๐—ณ๐—ผ๐—ฟ ๐—–๐—น๐—ถ๐—ป๐—ถ๐—ฐ๐—ฎ๐—น ๐—จ๐—ป๐—ฐ๐—ฒ๐—ฟ๐˜๐—ฎ๐—ถ๐—ป๐˜๐˜† Uncertainty is ubiquitous in medical practice yet is often viewed as a regrettable phenomenon to be tolerated or eradicated. To prepare trainees for practice, teachers need to reframe uncertainty
7
156
425
@amalsargsyan
Amalya Sargsyan
2 months
Reconnected with my mentor @YJanjigianMD at #ESMO25, always inspiring. Six presentations this Congress, plus multiple panel roles. (Will remember this next time I complain about making one PPT) We Were also excited to host @oncodaily GI Grand Rounds with a fantastic expert panel
1
5
68
@Annals_Oncology
Annals of Oncology
2 months
๐Ÿ“ข #ESMO25 concomitant paper: results from the phase III trial of 177Lu-Dotatate vs high-dose octreotide for advanced Grade 1-2 GEP-NETs https://t.co/Hnn6tNJVAb
1
15
31
@Annals_Oncology
Annals of Oncology
2 months
๐Ÿ†•article in press: #ESMO25 editorial article โ€œThe East and West consolidated efficacy of radioligand therapy in neuroendocrine tumorsโ€ by @RachelRiechelm2 https://t.co/PWJTzwJKQU
0
7
23
@FilippoPietran4
Filippo Pietrantonio
2 months
Patient-reported outcomes with paclitaxel and ramucirumab switch
0
1
4
@FilippoPietran4
Filippo Pietrantonio
2 months
RT @VJOncology: Lovely as ever to speak with @FilippoPietran4 (@IstTumori) at #ESMO25, who updated us on the DESTINY-Gastric04 trial, discuโ€ฆ
0
1
0
@CathyEngMD
Dr. Cathy Eng
2 months
๐Ÿ™๐Ÿป corresponding author @ChrisCannMD @FoxChaseCancer
@Annals_Oncology
Annals of Oncology
2 months
๐Ÿ†•article in press: #ESMO25 editorial article โ€œPositioning EGFR re-treatment in modern metastatic colorectal cancer: insights from PAREREโ€ @CathyEngMD
0
4
11
@DraMartinezLago
Nieves Martinez Lago MD PhD
2 months
๐Ÿ“ข #ESMO25 | #NETs COMPETE trial: ยนโทโทLu-edotreotide vs everolimus in G1โ€“2 GEP-NETs ๐Ÿงฉ mPFS 23.9 vs 14.1 mo | HR 0.67 (95% CI 0.48โ€“0.95); p=0.022 ๐Ÿงฉ ORR 22% vs 4% (p<0.0001) โš•๏ธ Drug-related discontinuations: 2% vs 15% ๐Ÿ’ก ยนโทโทLu-edotreotide outperforms everolimus, safer โœ…
1
18
38
@RachelRiechelm2
Rachel Riechelmann
2 months
Amazing results on Belzutifan in #pheochromocytoma #paraganglioma led by Camilo Jimenez + authors @JaydiDelRivero @Ja_Capdevila @GCarboneroLab mPFS 22 mo Overall disease control rate 85% Median time to response 11 mo Median duration response 20mo #ESMO25 #NEJM
0
27
67
@FilippoPietran4
Filippo Pietrantonio
2 months
Please donโ€™t miss the AMAZING Editorial by dr Cathy Eng and team putting in context the results of PARERE trial published in @Annals_Oncology !! Amazingly written and really helpful for all clinicians! https://t.co/cbOd0sJljy
annalsofoncology.org
Over the past decade, the number of therapeutic options for metastatic colorectal cancer (mCRC) have substantially improved, resulting in an estimated 50%-63% of patients receiving third-line...
@Annals_Oncology
Annals of Oncology
2 months
๐Ÿ“ข #ESMO25 concomitant paper: results from the PARERE study comparing panitumumab re-treatment followed by regorafenib vs the reverse sequence in RAS/BRAF ctDNA wt mCRC patients https://t.co/U8MwaFVSjl
0
2
9
@Annals_Oncology
Annals of Oncology
2 months
๐Ÿ“ข #ESMO25 concomitant paper: results from the phase III trial of 177Lu-Dotatate vs high-dose octreotide for advanced Grade 1-2 GEP-NETs https://t.co/Hnn6tNJnKD
0
4
10