Eye Care Connect
@EyeCareConnect
Followers
615
Following
428
Media
21
Statuses
163
Official account for Eye Care Connect. Education, collaboration, and innovation in eye care.
Joined March 2021
Awesome picture of @ikekahmed holding promotional material for IOL Reference and @eyeSpace_ai. We discussed collaborating to make a Canadian version. PC: Pam Katz #Ophthalmology #ophthotwitter #medtwitter #YMDCLive @YoungMDConnect
0
9
24
.@SallyLiuBaxter and team from @ShileyEye describe socioeconomic and demographic characteristics associated with #glaucoma visits using @AllofUsResearch
https://t.co/HpXaqFynrZ
0
1
3
Diagnosis #Ophthotwitter ?? It’s not Valsalva Retinopathy. Hint - look at multiple layers. #Ophthalmology #retina @RealWorldOphth @v_ophthalmology @AAOjournal @RevOphth @Clin_Ophthalmol @BMJ_Ophth
10
16
70
RT @CDCgov Warning! STOP using #EzriCareArtificialTears Immediately! Permanent #VisionLoss & 1 death! Thanks to @aao_ophth #ProtectingSight #Ophthalmology #Ophthotwitter #MedTwitter @RaviGoelMD @macularstar @KimWingesMD @DrAndreaTooley @Healio_OSN @RealWorldOphth @RuthWilliamsMD1
1
27
30
Check out our article on Technological Innovation in Ophthalmology published in @OphthoBizMinute! #ophthalmology @EyeFlyMD @mizzouophtho
1
7
24
I had been using a massive spreadsheet to track the outcomes of my cataract surgeries so @GurpalVirdi and I developed the @eyeSpace_ai to make this easier. #ophthalmology #ophthotwitter #medtwitter
2
4
26
I. Paul Singh, MD, shares a case of a patient with a history of failed gel stent implantation in which he implants an Ahmed ClearPath #glaucoma drainage device (@NWM_Inc). https://t.co/udfJCBmZlW
0
3
7
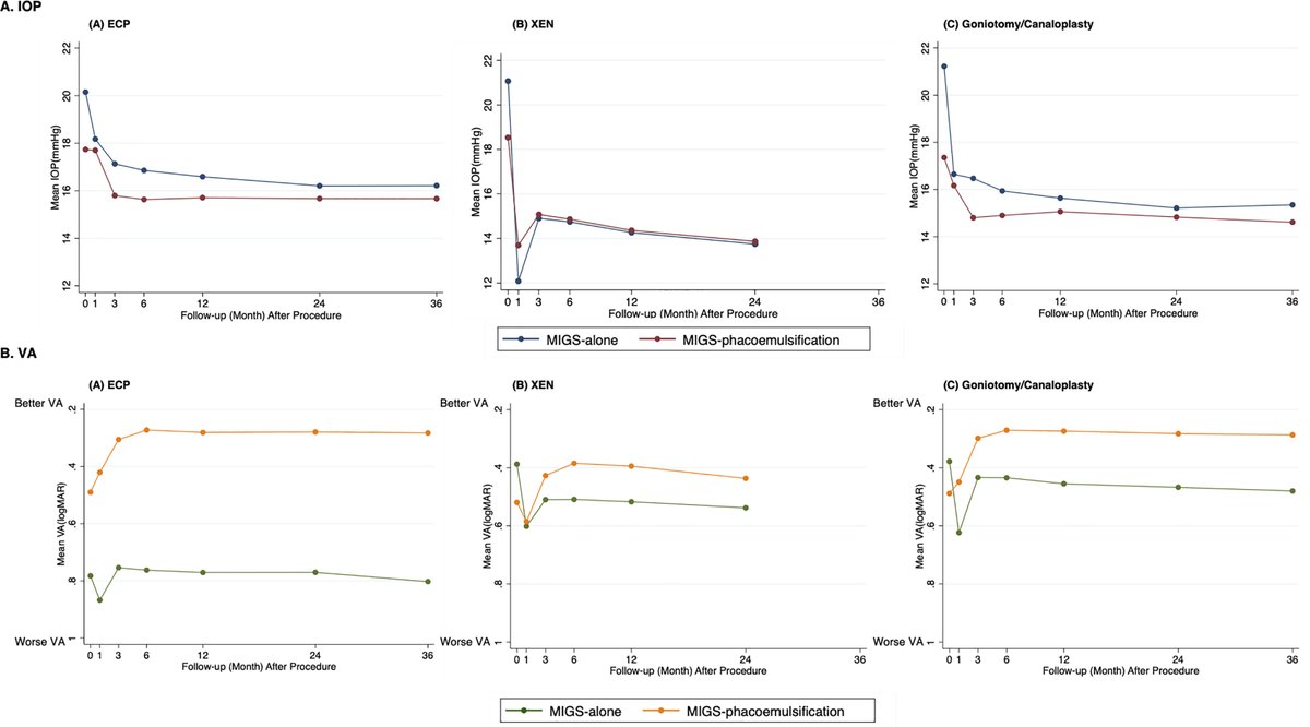
Our new IRIS Registry analysis now published in @AAOjournal . @HMSeye
IRIS Registry Analysis: Reop rates following #MIGS were substantially lower when performed w/ phaco. Black patients, eyes with mod-severe #glaucoma, & high baseline IOP were a/w higher risk of reop. #ophthalmology @DrZebardast
https://t.co/PxzledLnaD
0
4
19
Both @GurpalVirdi & @EyeFlyMD are excited to announce a re-imagining of the IOL app. Meet eyeSpace. It will have several tools including IOL Reference and a Cataract Surgery Outcome Tracking feature with many more to come. Download now. #ophthalmology #ophthotwitter #MedTwitter
0
7
9
REPLAY: In the first of a two-part episode, @ikekahmed & @Arsham_Sheybani sit down with @DrLorraineEyeMD & Dr. Michael Greenwood to discuss how #physicians can grow their practices with #MIGS technologies. https://t.co/9sonmFTlQi
0
5
5
Get ready for Real World Ophthalmology: Top Ten Things I Wish I Knew Sooner, taking place virtually on Saturday November 5th from 8 AM till 5:30 PM CT!! Link to register: https://t.co/eWaalxi5eO
0
7
17
Proud of this work by @nguyenpandrew and @jian_yifan demonstrating UWF-OCT for quantitative assessment of ROP stage. Is this the future of ROP screening? Thanks to @CaseyEye @NEIDirector @RPB_org @NatEyeInstitute
https://t.co/r5qMCJvEah via @JAMAOphth part of @JAMANetwork
2
8
41
The only therapy that decreases #MacularDegeneration progression is a specific supplement sold over the counter. We show many supplements contain wrong ingredients or doses. Physicians need to specifically mention brands with correct formulas to patients.
0
6
13
Residents! Here are the top tried and tested resources to help you build a solid foundation of knowledge and prepare for the #OKAPs. #YOInfo #ophthalmology
aao.org
If you are just beginning your residency, there’s a multitude of resources available to help you prepare for the exam. Below are resources I found useful during residency to build a solid foundation o
0
11
36
Frederic Aissani, MD, presents the case of a patient who experienced dramatic vision loss over the prior 24 hours. Examination revealed the patient experienced submacular bleeding, a macroaneurysm, and a sub-ILM hemorrhage.
eyetube.net
Frederic Aissani, MD, presents the case of a patient who experienced dramatic vision loss over the prior 24 hours. Examination revealed the patient experienced submacular bleeding, a macroaneurysm,...
0
4
12
Check out this article by @eyewireplus about our app, @IOLReference! https://t.co/8i3gbHbeeB
@EyeFlyMD @EyeLabs_AI
eyewire.news
Matt Hirabayashi, MD, of eyeflymd.com, and Gurpal Virdi, MD, of Eyelabs.ai, have developed an app called “eyeSpace,” which
0
3
14
The pictures should all work in the app now! Please update through the App Store. We continue to welcome suggestions, corrections, and feedback. #Ophthalmology #ophthotwitter
A bug with the pictures has been fixed! We are continuously dedicated to improving so please keep submitting updates and suggestions. #ophthalmology #ophthotwitter
1
3
10
New #Alcon 2022 catalog added to @IOLReference! Check it out on the App Store!
The brand new #Alcon 2022 catalog was shared with us yesterday and the app has been updated accordingly. #Ophthalmology #ophthotwitter
0
2
3
“We are not only ophthalmologists, but also radiologists,” says #YOInfo's Evan Silverstein, MD, who highlights the most important pearls you need to know as a new #ophthalmology #resident.
1
11
30
It's subtle, but can you see the V where it's not supposed to be? Weed-wacker propelled rock vs. eye resulting in hyphema and vitreous prolapse. #ophthalmology #ophthotwitter #medtwitter
1
3
22