EM Publications
@EMPublications
Followers
595
Following
16
Media
11
Statuses
3K
Publications focused on cleanup of U.S. Cold War nuclear-weapon sites, active U.S. nuclear weapons programs and the commercial radioactive waste industry.
Washington D.C.
Joined January 2014
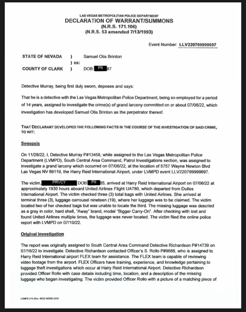
NEW: Via public records request, I’ve been able to confirm reporting today that a warrant has been issued for DOE deputy asst. secretary of spent fuel and waste disposition Sam Brinton for another luggage theft, this time at Las Vegas’s Harry Reid airport. (cc: @EMPublications)
2
3
8
DOE spent fuel lead Brinton accused of second luggage theft. https://t.co/4fiWVch2em by @BenjaminSWeiss, confirming today's reports with warrant from Las Vegas Metro PD.
exchangemonitor.com
Samuel Brinton, the Department of Energy’s recently-hired head of nuclear waste policy, has been implicated in another alleged theft, this time in Nevada.
0
1
0
Waste has been Emplaced! 🚮 We have finally begun emplacing defense-related transuranic (TRU) waste in Panel 8 of #WIPP. Read more about the waste emplacement here: https://t.co/Y2OhccOFC3
0
5
6
Editorial: Sam Brinton’s credibility is now an issue 🔓 https://t.co/0eEym872fY
exchangemonitor.com
It’s a bad look getting worse and Brinton, solely, is to blame.
0
0
1
🚨NEW: @EMPublications has confirmed that Sam Brinton, deputy asst. secretary for spent fuel and waste disposition at @GovNuclear, was charged Oct. 27 in Minnesota with felony theft. The charge carries a max sentence of 5yrs, $10k in fines.
exchangemonitor.com
The state of Minnesota has charged the Department of Energy’s recently-hired head of spent nuclear fuel management with felony theft, court documents show.
3
5
7
A top story from this week's RadWaste Monitor: a Mass state senator whose gambit in a recently-passed spending bill to block proposed wastewater discharges from the shuttered Pilgrim nuke plant was blocked by Gov. Baker said she'd try to override the veto. https://t.co/UNfWzdSmNs
exchangemonitor.com
A Massachusetts state senator who attempted to use a recently-passed economic development bill to block proposed wastewater discharges from a nuclear
0
1
1
.@SecGranholm on the timeline of DOE’s interim storage effort, earlier: “It obviously has to be demonstrated — and it can be demonstrated — that the [host] community doesn’t have to worry about safety. Those conversations, and the education associated with that, takes some time.”
1
1
2
@SecGranholm to me just now: The federal government "has a role to play" in nuclear waste storage despite commercial efforts to do the same. Applauds Finland's "bottom-up" approach to siting their recently-finished geologic repository in Onkalo.
1
1
1
Potential two-year COVID delay to UPF, splitting Pantex, Y-12, among top issues for NNSA https://t.co/lsAlzv94Bz
exchangemonitor.com
KNOXVILLE, TENN – Revitalizing decaying buildings, decoupling future contracts for two nuclear weapons plants and assessing the financial toll of the
1
0
0
Savannah River Site to be transferred to NNSA control by 2025, DOE confirms https://t.co/ySugtNmDZ3
0
5
4
"I love the topic of nuclear waste management ... it is the definition of a wicked problem. It is a problem that isn’t going to be solved by a silver bullet ... It’s going to take time and effort." My full interview with @sbrinton: https://t.co/2Id4uBPiQL
exchangemonitor.com
A lot of people say that they eat, sleep and breathe their passions, but there are few who would identify more with that adage than Sam Brinton,
0
2
0
🚨EXCLUSIVE: I got to chat Thu. with @sbrinton, the newly-minted head of spent fuel at @GovNuclear, in one of their first media appearances since taking on the role. We talked about how DOE is defining consent in its interim storage search. Full convo TK. https://t.co/zrFD7zBsz5
exchangemonitor.com
The Department of Energy’s latest search for a consenting host community for spent nuclear fuel can succeed even if no community consents, the agency’s
1
4
1
Livermore lab director Budil arrested for driving under the influence, speeding https://t.co/zJK3T7rdkz
exchangemonitor.com
Kimberly Budil, director of the Lawrence Livermore National Laboratory, admitted last week to all hands at the California nuclear-weapons design lab that
0
2
1
Livermore lab director Budil arrested for driving under the influence, speeding https://t.co/zJK3T7rdkz
exchangemonitor.com
Kimberly Budil, director of the Lawrence Livermore National Laboratory, admitted last week to all hands at the California nuclear-weapons design lab that
0
2
1
🚨NEW: A judge in the Fifth Circuit Court of Appeals told the Nuclear Regulatory Commission during oral arguments Mon. that she did not see how the agency could claim "this overarching de novo authority" to license private interim storage, according to an audio recording. #txpol
1
1
1
🚨 IT'S A DATE: The 5th Circuit Court of Appeals on Friday officially scheduled oral arguments in Texas AG Ken Paxton's suit against @NRCgov for Aug. 29. It'll be the first in-person legal test of interim storage opponents' arguments, including Paxton's recent SCOTUS invocation.
1
1
2
Acting boss of DOE nuke cleanup and GAO official will testify: Hearings | Hearings & Legislation | House Committee on Science, Space and Technology
0
1
0
.@Bechtel National will be taking over as the management and operations contractor for @WIPPNEWS, DOE @EMcleanup announced today: https://t.co/xNGN12kDau
energy.gov
The Department of Energy (DOE) Office of Environmental Management (EM) awarded the Waste Isolation Pilot Plant (WIPP) Management and Operating (M&O) Contract to Tularosa Basin Range Services, LLC...
0
3
6
SCOTUS EPA ruling means NRC can’t license temp storage of spent nuclear fuel, Texas says from @BenjaminSWeiss
https://t.co/1nzMy8fCfp “Under the major questions doctrine, that is the end of the matter.”
exchangemonitor.com
A recent Supreme Court ruling nullifies the Nuclear Regulatory Commission’s authority to issue a license for a proposed interim storage facility for spent
0
6
1
SCOTUS EPA ruling means NRC can’t license temp storage of spent nuclear fuel, Texas says from @BenjaminSWeiss
https://t.co/1nzMy8fCfp “Under the major questions doctrine, that is the end of the matter.”
exchangemonitor.com
A recent Supreme Court ruling nullifies the Nuclear Regulatory Commission’s authority to issue a license for a proposed interim storage facility for spent
0
6
1