ECGNurse Profile Banner
Dillon Dzikowicz PhD, RN Profile
Dillon Dzikowicz PhD, RN

@ECGNurse

Followers
32
Following
57
Media
13
Statuses
50

Assistant Professor @UofRSON Views are my own. Lab site: https://t.co/ikikF16KY8

Joined April 2023
Don't wanna be here? Send us removal request.
@ECGNurse
Dillon Dzikowicz PhD, RN
2 years
First of 6 new manuscripts coming to press! Happy to publish the first in @BRNJournal. In this paper, I systematically examine different #mobile #ECG devices. More interesting results to be published soon in #CardiovascularDigitalHealth. https://t.co/0obgx0scZc
journals.sagepub.com
The electrocardiogram (ECG) can now be measured using mobile devices. Mobile ECG devices, which are defined as devices capable of recording and transmitting non...
1
2
6
@andytamhk168
Wai Cheong Tam (Andy)
2 years
#SFPE23 was a great event and so glad to share our work for helping #firefighter to prevent #SCD and promote #smartfirefighting. Interested in participating our data collection to improve firefighters’ heart health? Please contact @ECGNurse at Dillon_Dzikowicz@URMC.Rochester.edu.
0
1
1
@ECGNurse
Dillon Dzikowicz PhD, RN
2 years
Awesome poster by @andytamhk168 showcasing our #neuralnetwork #artificalintelligence to protect #firefighters
0
1
4
@URochester_SON
URochester School of Nursing
2 years
Can postpartum depression be predicted by your heart rate during pregnancy? The answer might be in your Fitbit. ❤️⌚️ #URNursing and @UofRDataSci researchers earned a mini-grant from @AACNursing & @AllofUsResearch to find out. Read more: https://t.co/np52CYkFaC
0
2
5
@ECGNurse
Dillon Dzikowicz PhD, RN
2 years
A pleasure to work with @andytamhk168 @NIST @Google. Next step: Applying our algorithm in wearables @Hexoskin
@NIST
National Institute of Standards and Technology
2 years
Life-threatening cardiac events in firefighters may be more predictable, thanks to an AI tool developed in collaboration between NIST, @UofRSON and @Google. Learn about it: https://t.co/8EXHPokIUp
0
1
4
@NIST
National Institute of Standards and Technology
2 years
Life-threatening cardiac events in firefighters may be more predictable, thanks to an AI tool developed in collaboration between NIST, @UofRSON and @Google. Learn about it: https://t.co/8EXHPokIUp
0
7
7
@URochester_SON
URochester School of Nursing
2 years
Sudden cardiac events are a leading cause of death among firefighters. @UofR nurse scientists worked with @NIST and @Google to develop an AI model that could help firefighters catch early signs of heart trouble in the future. https://t.co/LjJpFvNF8l | #URochesterResearch
Tweet card summary image
nist.gov
Training a machine-learning model with real-life data from firefighters was key
0
5
7
@ECGNurse
Dillon Dzikowicz PhD, RN
2 years
#SchoolChoice The Equal Protection Clause applies to education. We must apply it to teacher effectiveness to ensure EVERY student has a great teacher!! #VergaravsCalifornia must be revisited #tenurereform #endLIFO
@DenishaMweather
Denisha Allen (Merriweather)
2 years
The latest NAEP test results show that Black students have lost decades of gains in reading and math. It is time that our children’s education is put at the forefront. #schoolchoicenow @BLK_MindsMatter https://t.co/nXvJNbOlpt
0
0
0
@ECGNurse
Dillon Dzikowicz PhD, RN
2 years
New Paper: Towards Real-Time Heart Health Monitoring in Firefighting using CNN! Key Result: CCN trained on a dataset containing 92,592 ECGs from #firefighters achieved 94.3% accuracy for arrhythmia despite significant noise. @andytamhk168 @NIST https://t.co/ZuRwWU0xGt
0
1
2
@AmericaNewsroom
America's Newsroom
2 years
FAILING OUR CHILDREN: CONDOLEEZZA RICE WEIGHS IN ON OUR NATION'S REPORT CARD Alarms sounding far and wide for education here in the United States after the nation's report card shows math and reading scores have plunged to their lowest levels in decades. Former Secretary of
27
55
264
@DrDamluji
Abdulla A. Damluji, MD, PhD
2 years
Considerations on the Management of Acute Postoperative Ischemia After Cardiac Surgery: A Scientific Statement From the American Heart Association: @CircAHA *** This is a nice science statement on post operative myocardial ischemia @AHAScience Short summary: 👇👇👇
1
26
51
@angelosgeo
Angelos Georgakis
2 years
Jan Skvarka took Trillium Therapeutics from a $16 million market capitalisation to a $2.26 billion acquisition by Pfizer in only 2 years and in the midst of the pandemic. The story and 6 lessons on biotech strategy, culture, and success. 🧵
7
57
291
@M_Cluitmans
Matthijs Cluitmans
2 years
Heterogeneity is a critical factor in cardiac electrophysiology 💟 In a new research topic for the @FrontPhysiol journal, we'll collect papers on this topic from a broad perspective.
frontiersin.org
Heterogeneity in myocardial electrical conduction is the core link of arrhythmogenesis. Abnormalities in cellular electrophysiology, cell-to-cell communication, interstitia, and cardiac structure...
1
2
9
@JACCJournals
JACC Journals
2 years
Coronary 18F-GP1 PET-CT angiography is the first non-invasive selective technique to identify in vivo coronary #thrombosis in pts w/ #cvAMI. This novel method can help identify the culprit vessel and differentiate type 1 from type 2 #cvMI. https://t.co/tqJTmx2lni #cvPET #JACCIMG
0
24
60
@JACCJournals
JACC Journals
2 years
Single ventricles in a #Fontan circulation exhibit abnormal torsional mechanics, which are more pronounced for RV morphology. Abnormal torsion is assoc. w/ death or need for #Hearttx. https://t.co/IH98flmYJ2 #JACCAdvances #CHD #CMR #CardioTwitter @sgcard
0
36
124
@ECGNurse
Dillon Dzikowicz PhD, RN
2 years
Congrats @emre2aktas, @UofR undergrad, on his first @AHA_Research research abstract. Plus 1 successful grant submission + 2 manuscripts under review. Very impressive!
1
3
5
@ECGNurse
Dillon Dzikowicz PhD, RN
2 years
8 months of fine editing- the most comprehensive review on #NSTEMI with an occluded culprit artery synthesizing clinical research and applications of computerized #ECG for earlier identification/stratification @IOPscience #physiology
0
0
3
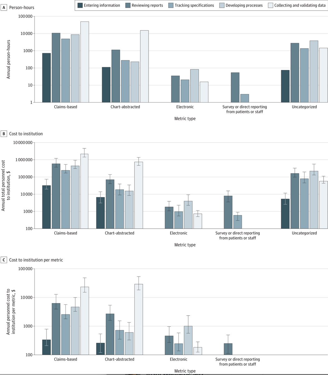
@rkwadhera
Rishi Wadhera, MD MPP
2 years
The quality measure complex has exploded over the past decade A new @JAMA_current study finds that Johns Hopkins spent >$5.6 million + 108,000 hours in a single year to report 162 measures The costs across all US health systems is likely *astronomical* https://t.co/lejPMeClMb
19
109
353
@URochester_SON
URochester School of Nursing
2 years
New #URochesterResearch: Symptoms of acute heart failure evaluated in clusters may be more meaningful than those evaluated individually. A #URNursing study identified 2 distinct symptom clusters. Read more in @JCNonline: https://t.co/DzzBKONsUE | @ECGNurse @SunitaPokhrel17
Tweet card summary image
pubmed.ncbi.nlm.nih.gov
In conclusion, 2 distinct symptom clusters were identified among patients with acute heart failure. Symptom clusters may be related to ejection fraction or overall cardiac output and comorbidity...
0
2
3