BDG_Research Profile Banner
Big Data and Geriatric Models of Care Profile
Big Data and Geriatric Models of Care

@BDG_Research

Followers
302
Following
591
Media
40
Statuses
298

We are a collection of scientists and clinicians that use ‘big data’ to inform and evaluate real-world care innovations for older adults.

Canada
Joined August 2017
Don't wanna be here? Send us removal request.
@Andrew_P_Costa
Andrew Costa
3 years
@modeRNemerg defends his PhD ‘Prognosis of Cardiac Arrest in Patients Receiving Home Care’. Many proud people in attendance! @kerstindewit @ProfBEEM @LaurenGriff1 @faridftn @SAEMEBM @BDG_Research @HEI_mcmaster @interRAI_Canada
1
3
20
@Andrew_P_Costa
Andrew Costa
3 years
Zain Pasat -official eHealth MSc. 🎉 🥳 @BDG_Research @StJoesCIC
1
2
23
@Andrew_P_Costa
Andrew Costa
3 years
Zain Pasat (@ZPasat) defends his @MSc_eHealth, "Examining the relationship between the 'real world' adoption of digital health tools and primary care experience". Thanks to @ICESOntario + Ministry of Health + Drs. Tarride, Lokker, Alarakhia @HEI_mcmaster @BDG_Research 🎉
3
3
17
@Andrew_P_Costa
Andrew Costa
3 years
Best team team in the world, out of the office on a lovely day. ⁦@BDG_Research
0
3
35
@DerekManis
Derek Manis, PhD, MHSc
4 years
NEW PUBLICATION We created the first population-level cohort of residents of retirement homes (known as assisted living facilities in the US) and examined their rates of health service use relative to other older adult populations. https://t.co/KjZWIOfbzv
5
16
62
@ICESOntario
ICES
4 years
Meet new @ICESOntario adjunct scientist @AaronJonesStats! Aaron is health services researcher, biostatistician, and Assistant Professor in the Dept. of Health Research Methods, Evidence, and Impact at McMaster University. Read his bio here: https://t.co/QPHi4VuGbd #newhires #team
2
2
20
@Andrew_P_Costa
Andrew Costa
4 years
FOLLOW-UP: 4th💉 in #LTC was ~63% more effective against symptomatic infection and ~54% for hospitalization or death compared to 3💉Jan-March in #Ontario. https://t.co/RYg8TW61w2 @DrJeffKwong 4th dose only happening now elsewhere. 💉works best before a wave. @COVIDimmunityTF
@Andrew_P_Costa
Andrew Costa
4 years
Happy 4th doses starting in #LTC, retirement homes, and seniors assisted living . 'Boosters' providing better protection from illness in this #Omicron wave to our most vulnerable, and a 4th dose (3 months after 3rd) ensures this continues. For more: https://t.co/7yT1M1LvQY
0
3
5
@MGVanstone
Meredith Vanstone
4 years
Also from @Andrew_P_Costa's group is @CIHR_IRSC winner Darly Dash, for her @HRMStudentsA @HEI_mcmaster doctoral work on the practice patterns of physicians working long term care.
1
3
11
@MGVanstone
Meredith Vanstone
4 years
Another @HRMStudentsA @HEI_mcmaster win from @rebecccacorreia who was awarded a @CIHR_IRSC doctoral scholarship for her examination of the care practices of @FamPhysCan with enhanced skills in Care of the Elderly
1
3
10
@MGVanstone
Meredith Vanstone
4 years
I just wanted to say how excited I am at the success of these fantastic @McMasterU women scholars, who have all won national, tri-council graduate research awards this week. A thread about their important work and brilliance.... Follow them. #phdchat
4
10
58
@Andrew_P_Costa
Andrew Costa
4 years
A great resource for LTC and RH settings to share with residents, families, and staff. Slide 7 is a nice visual. We can visit safely if we’re mindful! @OnLTCC @OLTCAnews @AdvantAgeOnt @ORCAhomes @CLRI_LTC
@COVIDSciOntario
COVIDScienceOntario
4 years
1/4 The @COVIDSciOntario Congregate Care Settings Working Group has compiled guidance for friends, families and essential caregivers to safely visit loved ones in Long-Term Care (LTC) as visits resume and #Omicron remains a concern https://t.co/K8BLOgOZpG
0
3
2
@Andrew_P_Costa
Andrew Costa
4 years
Wonderful news, and badly needed capacity. From the pandemic can emerge a better, more integrated, system. @StJoesCIC @GHHN_TheNetwork
@ResearchStJoes
The Research Institute of St. Joe's Hamilton
4 years
The incredible $5.1m #ValentinesDay gift announced by the @JuravinskiRI this morning will go a long way in advancing research and care in child & youth #mentalhealth, burn trauma, and integrated care. Thank you, once again, Charles & Margaret Juravinski ❤️❤️❤️ #JuravinskiLegacy
0
4
10
@Andrew_P_Costa
Andrew Costa
4 years
Really excited about this! The best is yet to come from our team of caregivers, care recipients, care coordinators, content developers, and developers. It shouldn’t be this hard to navigate home and community care, and digital navigation is possible. @CarersCanada @GovCanHealth
@yourcareplus
YourCare+
4 years
How will YourCare+ help caregivers? Caregiving is not an easy job, but here at YourCare+ we hope to make it a little bit easier through meaningful tools and support. You can hear how from Dr. Costa and Sydney with this link: https://t.co/V2lLE4vs2o #caregivers #caregiving
0
6
17
@SchumacherCon
Connie Schumacher RN PhD
4 years
@VBoscart Thank you Veronique! #Respect #love Let's keep the focus on those doing good, caring for the vulnerable.
0
1
1
@Andrew_P_Costa
Andrew Costa
4 years
👇 + saw some encouraging real world booster/3rd dose VE (delta) data from 🇺🇸 today. But doesn’t change the fact that #LTC staffing challenge is massive. 🤞
@ChrisHopsonNHS
Chris Hopson
4 years
Other piece of positive news is that hospitals are still not seeing large numbers of seriously ill older people. Striking that CEOs across country are echoing London colleague in pointing to the fact that care home omicron outbreaks not translating into hospital admissions. 20/25
0
1
3
@Andrew_P_Costa
Andrew Costa
4 years
A wonderful thread on #Omicron dynamics (esp. UK).👇 Very glad for vaccine acquired immunity to blunt the deaths/severity in Canada, but infection pressure on our frail health resources causing its own devastation. We continue to neglect our heath human resources at our peril.
@jburnmurdoch
John Burn-Murdoch
4 years
NEW: first thread of 2022 is an Omicron situation update, starting with a detailed look at UK hospitals, before going international. Let’s start with severity, and the most important chart: Despite steep rises in cases and patients, the number on ventilators has barely risen.
0
2
5
@Andrew_P_Costa
Andrew Costa
4 years
Kudos to the Local, again. Pls use their RAT tracker so we have some level of reporting.
@TheLocal_TO
The Local Magazine (Archived Account)
4 years
Introducing RAT Tracker—a citizen-powered tool for anonymous reporting of rapid antigen test results for Toronto students. The data collected will fill a gap in our understanding of Omicron’s spread and inform the COVID-19 situation at each Toronto school.
0
1
1
@Andrew_P_Costa
Andrew Costa
4 years
Kudos to @LenCG who has been a significant mentor to me, and many! Was fortunate to spend time in the precursors to @UQ_CHSR early in my development as a scientist in geriatric health services. Grateful to work with @LenCG and team.
1
1
7
@Andrew_P_Costa
Andrew Costa
4 years
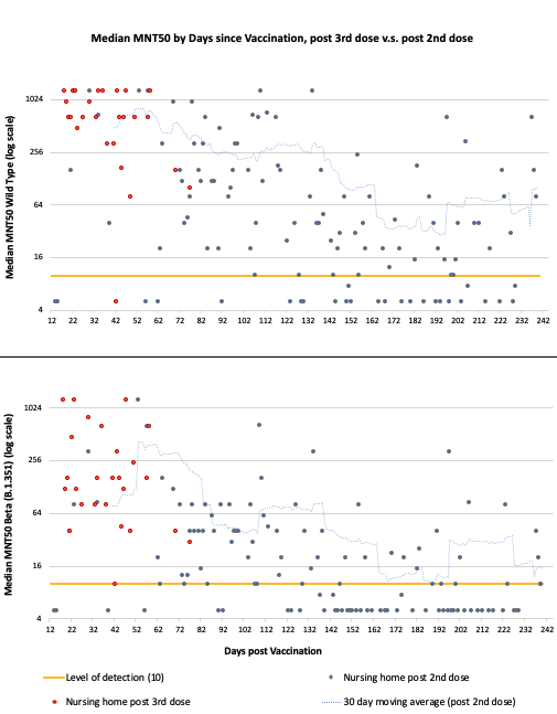
With valid concern for #LTC, DO NOT FORGET residents of retirement homes and assisted living. We find the same immune (humoral) profile. 👇 @CovidInltc @MsMacrophage @COVIDimmunityTF What's good for #LTC is good for all high risk seniors who get services in congregate care!
@Andrew_P_Costa
Andrew Costa
4 years
Need to maintain strong IPAC and staff/caregivers urged to get 3rd dose to reduce risk of transmission! Neutralization substantially lower for beta variant neutralization (p<0.001) compared to wild type, which is a warning for #Omicron. 👇 @CovidInltc @MsMacrophage
0
3
4