ArantesLab Profile Banner
Guilherme M. Arantes Profile
Guilherme M. Arantes

@ArantesLab

Followers
896
Following
8K
Media
95
Statuses
2K

Professor @USPonline 🇧🇷. Visiting @MIT. Scholar @ieausp. Scientist in computational (bio)chemistry and biophysics. BSky: https://t.co/LgaknqOXSQ

Cambridge, MA, USA
Joined April 2019
Don't wanna be here? Send us removal request.
@ArantesLab
Guilherme M. Arantes
5 months
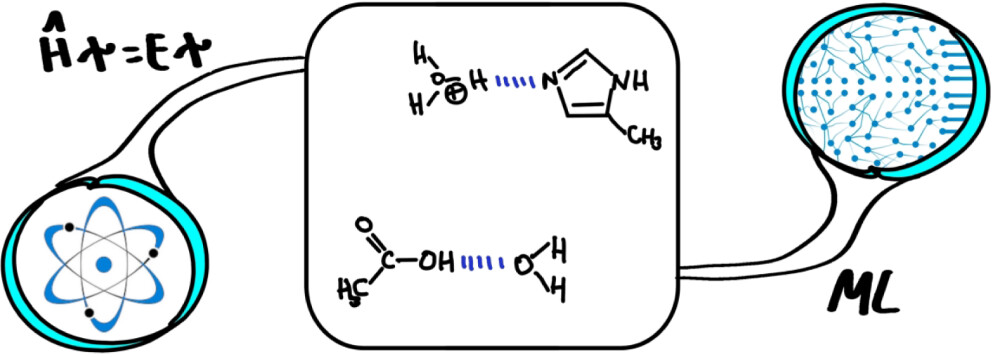
🚀 Benchmark paper out! How well do DFT, semiempirical & ML methods model proton transfer? ✅ DFT performs well, except with N-groups ❌ Pure ML struggles (though ORB v3 shows big gains) 🔥 PM6-ML Δ-learning excels, even in QM/MM setups! Check it out: https://t.co/x1NjuuY8M2
1
5
44
@NabilBondukiSP
Nabil Bonduki 🏡
4 days
Todo dia tem gente criticando (com razão) a dívida do Corinthians pela construção do estádio. Mas basta citar que os CTs de Palmeiras e São Paulo estão instalados em terrenos públicos, sem contrapartidas proporcionais, que aparecem torcedores dizendo que é um absurdo tocar no
245
231
2K
@WhiteHouse
The White House
1 month
President Trump meets with Brazilian President Luiz Inácio Lula da Silva at ASEAN summit. 🇺🇸🇧🇷 "It's a great honor to be with the President of Brazil... I think we should be able to make some pretty good deals for both countries... We always have had a good relationship — I
3K
5K
44K
@Haddad_Fernando
Fernando Haddad
1 month
Presidente Lula, No dia do seu aniversário, não tenho como deixar de recordar todos os anos em que o acompanhei ao longo dessa jornada épica. Constato, com admiração, que o tempo só fez crescer a sua paixão pelo Brasil, o seu respeito pela nossa gente e o vigor com que o senhor
674
2K
23K
@futnostalgico
Futebol Nostálgico!
1 month
Desde a criação da Copa do Mundo, 471 jogadores foram campeões: 📊450 jogadores: venceram 1 copa 📊20 jogadores: venceram 2 copas 📊1 jogador: venceu 3 copas (Pelé)
2
28
219
@kmendoncafilho
Kleber Mendonça Filho
1 month
Entrevista para Tom Phillips, ⁦@guardian⁩ (em inglês) Brazil’s Cannes-winning director on Bolsonaro and political amnesia | Movies | The Guardian
Tweet card summary image
theguardian.com
Kleber Mendonça Filho’s gripping thriller The Secret Agent is set in the 70s but casts light on present-day politics
4
64
751
@ArantesLab
Guilherme M. Arantes
2 months
Last week at the University of Tennessee, I presented my research on Machine Learning and Quantum Chemistry potentials. It was a great discussion at the symposium about the future of MLIP and approximate QC methods! 😎 #compchem #ai4science https://t.co/0wdIKDcEYU
0
0
0
@TrumpTruthOnX
Commentary: Trump Truth Social Posts On X
2 months
This morning, I had a very good telephone call with President Lula, of Brazil. We discussed many things, but it was mostly focused on the Economy, and Trade, between our two Countries. We will be having further discussions, and will get together in the not too distant future,
2K
2K
30K
@ArantesLab
Guilherme M. Arantes
2 months
🚀 Tip: In this talk @MIT, @ylecun literally just said PhD students should learn quantum mechanics 〰️ #compChem #ML
0
0
0
@ZAMENZA
Sérgio Santos
3 months
A notícia é tão boa que ressuscitou um dos melhores memes da história da internet.
35
3K
27K
@Omardeideais
Omar
3 months
Desde quando eu cheguei na China: só andei de metrô com ar-condicionado no talo, carro elétrico tecnológico igual foguete, estradas super sinalizadas e seguras, museus de graça, hotéis luxuosos baratíssimos, comi muito pagando pouco, aí o bolsominion retardado: “Como está sendo
333
1K
16K
@reztirps
Andre Spritzer
3 months
Enquanto isso, em Portugal, o líder da extrema direita faz uma leve confusão.
311
1K
23K
@ArantesLab
Guilherme M. Arantes
3 months
Nice discussion @MIT_CSAIL ! Is the seminar video available? https://t.co/g5evsFuOox
0
0
0
@keenanisalive
Keenan Crane
3 months
“Everyone knows” what an autoencoder is… but there's an important complementary picture missing from most introductory material. In short: we emphasize how autoencoders are implemented—but not always what they represent (and some of the implications of that representation).🧵
44
408
3K
@ArantesLab
Guilherme M. Arantes
3 months
Grande homem! Obrigado por todo seu empenho em construir um país digno. Descanse em paz, Mino!
@cartacapital
CartaCapital
3 months
Morreu nesta terça-feira 2, aos 91 anos, o jornalista Mino Carta, fundador de @cartacapital. Há um ano, Mino lutava contra os problemas de saúde, em idas-e-vindas do hospital. Na última passagem, estava havia duas semanas na UTI do Sírio-Libanês, em São Paulo. Sua trajetória se
0
0
1
@cartacapital
CartaCapital
3 months
Morreu nesta terça-feira 2, aos 91 anos, o jornalista Mino Carta, fundador de @cartacapital. Há um ano, Mino lutava contra os problemas de saúde, em idas-e-vindas do hospital. Na última passagem, estava havia duas semanas na UTI do Sírio-Libanês, em São Paulo. Sua trajetória se
228
542
3K
@ArantesLab
Guilherme M. Arantes
3 months
🎥 Neste videocast produzido junto do @ieausp, tive uma conversa inspiradora com o @anderson_IA_Br, @SaudenoBR e o @bahl_lab sobre como a IA está moldando o futuro da biologia e da saúde humana. Assista aqui 👉
0
3
10
@SaudenoBR
Alexandre Chiavegatto Filho
3 months
Reclamar que a IA tira a criatividade humana é considerar que já chegamos ao nosso limite. A IA não é o teto da criatividade humana. É o novo chão a partir do qual vamos construir. O único limite real é acreditar que ele existe.
1
2
12
@ieausp
IEA-USP
3 months
Coordenado pelo bioquímico Guilherme Menegon Arantes quando participou do Programa Ano Sabático do IEA, videocast discute como a inteligência artificial pode transformar a biologia e a medicina e o que ela já possibilita para melhorar a qualidade de vida: https://t.co/MOqr8Jb3gW.
1
3
4